Online Database of Chemicals from Around the World

4-O-[2-(3,5-Dimethyl-4-Morpholinyl)-2-Oxoethyl]Rifamycin
[CAS# 55372-15-1]

Suppliers
CAS#: 55372-15-1
Product: 4-O-[2-(3,5-Dimethyl-4-Morpholinyl)-2-Oxoethyl]Rifamycin
No suppilers available for the product.
Identification
Name 4-O-[2-(3,5-Dimethyl-4-Morpholinyl)-2-Oxoethyl]Rifamycin
Synonyms Morpholine, 4-(((1,2-Dihydro-5,6,17,19,21-Pentahydroxy-23-Methoxy-2,4,12,16,18,20,22-Heptamethyl-1,11-Dioxo-2,7-(Epoxypentadeca(1,11,13)Trienimino)Naphtho(2,1-B)Furan-9-Yl)Oxy)Acetyl)-3,5-Dimethyl-, 21-Acetate; Rifamycin B Dimethylmorpholide
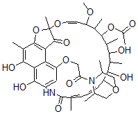
Molecular Structure CAS#: 55372-15-1, 4-O-[2-(3,5-Dimethyl-4-Morpholinyl)-2-Oxoethyl]Rifamycin
Molecular Formula C45H60N2O14
Molecular Weight 852.97
CAS Registry Number 55372-15-1
SMILES C(OC1=C2C4=C(O)C(=C1)NC(=O)C(=C\C=C\C(C)C(O)C(C)C(O)C(C)C(OC(C)=O)C(C(OC)\C=C\OC3(C)OC(=C2C3=O)C(=C4O)C)C)/C)C(=O)N5C(C)COCC5C
InChI 1S/C45H60N2O14/c1-21-13-12-14-22(2)44(55)46-30-17-32(58-20-33(49)47-23(3)18-57-19-24(47)4)34-35(40(30)53)39(52)28(8)42-36(34)43(54)45(10,61-42)59-16-15-31(56-11)25(5)41(60-29(9)48)27(7)38(51)26(6)37(21)50/h12-17,21,23-27,31,37-38,41,50-53H,18-20H2,1-11H3,(H,46,55)/b13-12+,16-15+,22-14-
InChIKey VNGGREZXMCUAKI-JJPORJASSA-N
Properties
Density 1.329g/cm3 (Cal.)
Boiling point 970.205°C at 760 mmHg (Cal.)
Flash point 540.561°C (Cal.)
Market Analysis Reports
List of Reports Available for 4-O-[2-(3,5-Dimethyl-4-Morpholinyl)-2-Oxoethyl]Rifamycin
Related Products
4,4'-[(2,2'-Dimethyl[1,1'-Biphenyl]-4,4'...  7-Hexyldocosane.  2-(1-Decyl-1-Undecenyl)-1,4-Dimethylbenz...  2-(1-Decylundecyl)-1,4-Dimethylbenzene  1,1'-Undecylidenebis(Decahydronaphthalen...  Anthranilaldehyde Phenylhydrazone  Praziquanamine  3-(Phenylthio)Benzoic Acid  1-N-Propoxy-2-Amino-4-Nitrobenzene  Dansylarginine N-(3-Ethyl-1,5-Pentanediy...  1-[5-[(Aminoiminomethyl)amino]-2- [(2S)-...  Dansyl-Arginine-Methylpiperidine Amide  Desacetylvinblastine Hydrazide  Tetrahydro-1-((4-(1-methylethoxy)phenyl)...  Dihydro-1-((4-Methoxyphenyl)Methyl)-2,4(...