Online Database of Chemicals from Around the World

2-脱氧麦芽糖
[CAS# 55601-96-2]

供应商
CAS#: 55601-96-2
产品: 2-脱氧麦芽糖
暂时没有厂家供应该产品。
基本信息
产品名称 2-脱氧麦芽糖
英文名 2-Deoxymaltose
别名 (3R,5R)-3,5,6-Trihydroxy-4-[(2R,3R,4S,5S,6R)-3,4,5-Trihydroxy-6-(Hydroxymethyl)Tetrahydropyran-2-Yl]Oxy-Hexanal; (3R,5R)-3,5,6-Trihydroxy-4-[[(2R,3R,4S,5S,6R)-3,4,5-Trihydroxy-6-(Hydroxymethyl)-2-Tetrahydropyranyl]Oxy]Hexanal; (3R,5R)-3,5,6-Trihydroxy-4-[(2R,3R,4S,5S,6R)-3,4,5-Trihydroxy-6-Methylol-Tetrahydropyran-2-Yl]Oxy-Hexanal
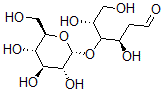
分子结构 CAS 登录号:55601-96-2, 2-脱氧麦芽糖
分子式 C12H22O10
分子量 326.30
CAS 登录号 55601-96-2
分子行输入简码 SMILES [C@H]1([C@@H]([C@H]([C@@H]([C@H](O1)CO)O)O)O)OC([C@@H](CC=O)O)[C@@H](CO)O
国际化学标识码 InChI 1S/C12H22O10/c13-2-1-5(16)11(6(17)3-14)22-12-10(20)9(19)8(18)7(4-15)21-12/h2,5-12,14-20H,1,3-4H2/t5-,6-,7-,8-,9+,10-,11?,12-/m1/s1
国际化学标识检索码 InChIKey LCIOULREYSZZRU-KFMRXTDRSA-N
市场分析报告
请浏览2-脱氧麦芽糖市场分析报告总目录
相关产品
[(6aR,10aR)-6,6,9-三甲基-3-戊...  2-(1-羟基-4-氧代-1-环己-2,5-二烯基...  米姆本  多萜醇-D-葡糖基单磷酸酯  2-氯-3-羟基-8-甲氧基-1,6,9-三甲基-...  马兜铃内酰胺-II  1,2-二甲氧基-6-甲基-4H-二苯并[de,g...  二氢-4-甲基-5-(3-甲基丁基)呋喃-2(3H...  N(6)-烯丙基-N(6)-环己基腺苷  5-氯-1-(2'-氟-2'-脱氧呋喃核糖基)尿嘧...  5-溴-2'-氯-2'-脱氧尿苷  N-乙酰基葡萄糖胺基(1-3)-N-乙酰基葡萄糖胺...  (2,4-二氯苯氧基)乙酸壬酯  二甲基铵 2-(2,4,5-三氯苯氧基)丙酸盐  N-(2-氯乙基)-N-乙基-4-[(4-硝基苯基...