Online Database of Chemicals from Around the World

4-脱氧-4-[3-羟基-2-(1-羟基乙基)吡咯烷-1-基]利福霉素
[CAS# 56411-51-9]

供应商
CAS#: 56411-51-9
产品: 4-脱氧-4-[3-羟基-2-(1-羟基乙基)吡咯烷-1-基]利福霉素
暂时没有厂家供应该产品。
基本信息
产品名称 4-脱氧-4-[3-羟基-2-(1-羟基乙基)吡咯烷-1-基]利福霉素
英文名 4-Deoxy-4-[3-Hydroxy-2-(1-Hydroxyethyl)Pyrrolidin-1-Yl]Rifamycin
别名 Halomicin A; Rifamycin, 4-Deoxy-4-(3-Hydroxy-2-(1-Hydroxyethyl)-1-Pyrrolidinyl)-; Sp-30-A
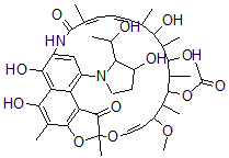
分子结构 CAS 登录号:56411-51-9, 4-脱氧-4-[3-羟基-2-(1-羟基乙基)吡咯烷-1-基]利福霉素
分子式 C43H58N2O13
分子量 810.94
CAS 登录号 56411-51-9
分子行输入简码 SMILES CC1C(O)C(C(O)C(C)\C=C\C=C(C(=O)NC4=CC(=C3C2=C(OC(O/C=C/C(OC)C(C1OC(=O)C)C)(C2=O)C)C(=C(O)C3=C4O)C)N5C(C(O)CC5)C(O)C)\C)C
国际化学标识码 InChI 1S/C43H58N2O13/c1-19-12-11-13-20(2)42(54)44-27-18-28(45-16-14-29(48)34(45)25(7)46)31-32(38(27)52)37(51)24(6)40-33(31)41(53)43(9,58-40)56-17-15-30(55-10)21(3)39(57-26(8)47)23(5)36(50)22(4)35(19)49/h11-13,15,17-19,21-23,25,29-30,34-36,39,46,48-52H,14,16H2,1-10H3,(H,44,54)/b12-11+,17-15+,20-13-
国际化学标识检索码 InChIKey QKZDEAZSGKLVSB-YHEYKRLHSA-N
市场分析报告
请浏览4-脱氧-4-[3-羟基-2-(1-羟基乙基)吡咯烷-1-基]利福霉素市场分析报告总目录
相关产品
1-甲基-1,2-乙二基二[12-羟基-9-十八碳...  1-(2-羟基乙基)-3-(十四碳烯基)吡咯烷-2...  羟基甲烷磺酸铵盐  4-[(3-氯-2-甲基苯基)偶氮]-N-[4-[...  二苯并呋喃-2,8-二(磺酰肼)  (9R,10R)-15-(环丙基甲基)-10-甲基...  异戊酸庚酯  7-羟基-5-甲基-(1,2,4)三唑并(1,5-...  2-(2-氨基-2-氧代乙氧基)苯甲酸  2,6,6-三甲基环己-2-烯-1-羧酸  尿苷 5'-(1H-咪唑-1-基膦酸氢酯)  alpha-乙基-2,5-二甲基二苯甲醇  4-二乙基氨基乙氧基-alpha-乙基二苯甲醇  2-(氯甲基)-5-甲基-(1,2,4)三唑并(1...  S-乙基硫代磷酸酯二锂盐