Online Database of Chemicals from Around the World

辅酶 A S-(2-亚甲基环丙烷乙酸酯)
[CAS# 56898-43-2]

供应商
Achemica 瑞士 询价快递  
+41 (24) 466-2929
contact@achemica.com
化学品生产商(2010 年起)
基本信息
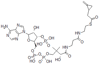
产品名称 辅酶 A S-(2-亚甲基环丙烷乙酸酯)
英文名 Coenzyme A S-(2-methylenecyclopropaneacetate)
别名 S-[2-[3-[[(2R)-4-[[[(2R,3S,4R)-5-(6-Aminopurin-9-Yl)-4-Hydroxy-3-Phosphonooxy-Tetrahydrofuran-2-Yl]Methoxy-Hydroxy-Phosphoryl]Oxy-Hydroxy-Phosphoryl]Oxy-2-Hydroxy-3,3-Dimethyl-Butanoyl]Amino]Propanoylamino]Ethyl] 2-(2-Methylenecyclopropyl)Ethanethioate; 2-(2-Methylenecyclopropyl)Ethanethioic Acid S-[2-[[3-[[(2R)-4-[[[(2R,3S,4R)-5-(6-Amino-9-Purinyl)-4-Hydroxy-3-Phosphonooxy-2-Tetrahydrofuranyl]Methoxy-Hydroxyphosphoryl]Oxy-Hydroxyphosphoryl]Oxy-2-Hydroxy-3,3-Dimethyl-1-Oxobutyl]Amino]-1-Oxopropyl]Amino]Ethyl] Ester; 2-(2-Methylenecyclopropyl)Ethanethioic Acid S-[2-[3-[[(2R)-4-[[[(2R,3S,4R)-5-(6-Aminopurin-9-Yl)-4-Hydroxy-3-Phosphonooxy-Tetrahydrofuran-2-Yl]Methoxy-Hydroxy-Phosphoryl]Oxy-Hydroxy-Phosphoryl]Oxy-2-Hydroxy-3,3-Dimethyl-Butanoyl]Amino]Propanoylamino]Ethyl] Ester
分子结构 CAS 登录号:56898-43-2, 辅酶 A S-(2-亚甲基环丙烷乙酸酯)
分子式 C27H42N7O17P3S
分子量 861.65
CAS 登录号 56898-43-2
分子行输入简码 SMILES [N]3(C1O[C@@H]([C@@H](O[P](=O)(O)O)[C@H]1O)CO[P](O[P](OCC([C@@H](O)C(=O)NCCC(=O)NCCSC(=O)CC2C(C2)=C)(C)C)(=O)O)(=O)O)C4=C(N=C3)C(=NC=N4)N
国际化学标识码 InChI 1S/C27H42N7O17P3S/c1-14-8-15(14)9-18(36)55-7-6-29-17(35)4-5-30-25(39)22(38)27(2,3)11-48-54(45,46)51-53(43,44)47-10-16-21(50-52(40,41)42)20(37)26(49-16)34-13-33-19-23(28)31-12-32-24(19)34/h12-13,15-16,20-22,26,37-38H,1,4-11H2,2-3H3,(H,29,35)(H,30,39)(H,43,44)(H,45,46)(H2,28,31,32)(H2,40,41,42)/t15?,16-,20-,21-,22+,26?/m1/s1
国际化学标识检索码 InChIKey LRZLYYOBCYKACZ-YVOTYHKYSA-N
物理化学性质
密度 1.87g/cm3 (计算值)
市场分析报告
请浏览辅酶 A S-(2-亚甲基环丙烷乙酸酯)市场分析报告总目录
相关产品
4-[[[2-[[4-(4-氯苯基)-5-(4-甲...  1,4-二氧代萘-2-磺酸铵  硅酸锌锆盐  2,4-辛二烯-1-醇  迷人醇  1-氟蒽醌  2-吡啶-2-基-1H-吲哚-3-甲醛  5-氯-3-乙基-2-羟基苯甲醛肟  3-乙基-2-羟基-5-硝基苯甲酸  5-氯-3-乙基-2-甲氧基苄醇  N-[2-氯-5-[(十六烷基磺酰基)氨基]苯基]...  4-[1-[[2-氯-5-[4-(2,4-二戊基苯...  (3Aalpha,4beta,5beta,7bet...  1-(4-羟基-2,6,6-三甲基-1-环己烯-1...  菲-1,4-二酮