Online Database of Chemicals from Around the World

3,4-二羟基-2-(3-甲基丁酰基)-5-(3-甲基-2-丁烯-1-基)-4-[(2E)-4-甲基-2-戊烯酰]-2-环戊烯-1-酮
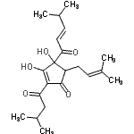
[CAS# 57195-47-8]

基本信息
产品名称 3,4-二羟基-2-(3-甲基丁酰基)-5-(3-甲基-2-丁烯-1-基)-4-[(2E)-4-甲基-2-戊烯酰]-2-环戊烯-1-酮
英文名 3,4-Dihydroxy-2-(3-Methylbutanoyl)-5-(3-Methyl-2-Buten-1-Yl)-4-[(2E)-4-Methyl-2-Pentenoyl]-2-Cyclopenten-1-One
别名 3,4-Dihydroxy-2-(3-methylbutanoyl)-5-(3-methyl-2-butenyl)-4-[(2E)-4-methyl-2-pentenoyl]-2-cyclopenten-1-one #; Allo-isohumulone
分子结构 CAS 登录号:57195-47-8, 3,4-二羟基-2-(3-甲基丁酰基)-5-(3-甲基-2-丁烯-1-基)-4-[(2E)-4-甲基-2-戊烯酰]-2-环戊烯-1-酮
分子式 C21H30O5
分子量 362.46
CAS 登录号 57195-47-8
分子行输入简码 SMILES O=C(/C=C/C(C)C)C1(O)C(/O)=C(\C(=O)C1C/C=C(/C)C)C(=O)CC(C)C
国际化学标识码 InChI 1S/C21H30O5/c1-12(2)7-9-15-19(24)18(16(22)11-14(5)6)20(25)21(15,26)17(23)10-8-13(3)4/h7-8,10,13-15,25-26H,9,11H2,1-6H3/b10-8+
国际化学标识检索码 InChIKey REOAFLKDMUDWNA-CSKARUKUSA-N
物理化学性质
密度 1.133g/cm3 (计算值)
沸点 530.641°C at 760 mmHg (计算值)
闪点 288.796°C (计算值)
市场分析报告
请浏览3,4-二羟基-2-(3-甲基丁酰基)-5-(3-甲基-2-丁烯-1-基)-4-[(2E)-4-甲基-2-戊烯酰]-2-环戊烯-1-酮市场分析报告总目录
相关产品
(3E)-5-羟基-3-己烯-2-酮  10-甲基-1,4-二氧杂螺[4.5]癸-6-烯  钠[1-{[2-(羟基-5-硝基苯基]偶氮}-2-...  2-氟-1H-咪唑  3-(氨基甲基)-L-苯丙氨酸  4-(2,4-二苯基-2-丁炔基)-1,2-二甲基...  8-硫杂-1,2-二氮杂螺[4.5]癸烷  1-[(1R,2S,3S,4R,5S)-三环[3....  (1R,2S)-1,2-二乙炔基-1,2-二甲基环...  1-甲氧基-5-甲基-1H-苯并三唑  1-壬烯-3-炔  甲基2-氰基-L-脯氨酸酯  甲基3,4-二氢-2H-吡咯-5-羧酸酯  2-氰基-N-甲基脯氨酰胺  2,3-二甲基六氢吡咯并[1,2-a]吡嗪-1,4...