Online Database of Chemicals from Around the World

Dihydronicotinamide-Adenine Dinucleotide
[CAS# 58-68-4]

Suppliers
BOC Sciences USA Inquire  
+1 (631) 485-4226
info@bocsci.com
Skype Chat
Chemical distributor
chemBlink massive supplier since 2012
Indofine Chemical Company, Inc. USA Inquire  
+1 (908) 359-6778
fo@indofinechemical.com
Chemical manufacturer since 1996
Identification
Name Dihydronicotinamide-Adenine Dinucleotide
Synonyms Adenosine 5'-(Trihydrogen Diphosphate), P'-5'-Ester With 1,4-Dihydro-1-Beta-D-Ribofuranosyl-3-Pyridinecarboxamide; Adenosine 5'-(Trihydrogen Pyrophosphate), 5'-5'-Ester With 1,4-Dihydro-1Beta-D-Ribofuranosylnicotinamide; Codehydrase I, Reduced
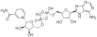
Molecular Structure CAS#: 58-68-4, Dihydronicotinamide-Adenine Dinucleotide
Molecular Formula C21H29N7O14P2
Molecular Weight 665.45
CAS Registry Number 58-68-4
EINECS 200-393-0
SMILES [C@H]1(O)[C@@H](O)[C@@H](O[C@@H]1CO[P](O[P](OC[C@H]2O[C@H]([C@H](O)[C@@H]2O)C4=NC3=NC=NC(=C3[NH]4)N)(O)=O)(O)=O)N5C=C(CC=C5)C(=O)N
InChI 1S/C21H29N7O14P2/c22-17-11-19(25-7-24-17)27-20(26-11)16-14(31)12(29)9(40-16)5-38-43(34,35)42-44(36,37)39-6-10-13(30)15(32)21(41-10)28-3-1-2-8(4-28)18(23)33/h1,3-4,7,9-10,12-16,21,29-32H,2,5-6H2,(H2,23,33)(H,34,35)(H,36,37)(H3,22,24,25,26,27)/t9-,10-,12-,13-,14-,15-,16-,21-/m1/s1
InChIKey ITHLNINGIUMTDS-VJOGCJHKSA-N
Properties
Density 1.868g/cm3 (Cal.)
Boiling point 1136.101°C at 760 mmHg (Cal.)
Flash point 640.891°C (Cal.)
References
(1) Hucheng Chang, Xiaojing Wu, Changyu Wu, Yu Chen, Hui Jiang and Xuemei Wang. Catalytic oxidation and determination of β-NADH using self-assembly hybrid of gold nanoparticles and graphene, Analyst, 2011, 136, 2735.
Market Analysis Reports
List of Reports Available for Dihydronicotinamide-Adenine Dinucleotide
Related Products
2-(Methoxymethyl)-5-Nitrofuran  5,6-Dehydroarachidonic Acid  N-Benzoyl-L-tyrosinamide  5-(2-Chloro-Phenoxymethyl)-[1,3,4]Oxadia...  5,5'-Carbonylbis-1,3-Isobenzofurandione ...  2'-Azido-D-Adenosine  N,N-Bis(thien-2-ylmethyl)amine  Sulprosal  2-Bromo-1,1-Dichloroethylene  3-Hydroxy-2-Methyl-Cyclopent-2-Enone  2-(4-fluorophenoxy)-2-methyl-Propanoic a...  1,2,3,8-Tetrahydro-1,2,3,3,8-Pentamethyl...  1-[4-(Piperidine-1-Sulfonyl)-Phenyl]-Eth...  4-(Bromoacetyl)-N,N-Diethylbenzenesulfon...  N2-(1-Oxohexadecyl)-L-Arginine