Online Database of Chemicals from Around the World

二[2-氯-5-[(2-羟基-1-萘基)偶氮]-4-磺酸基苯甲酸]钙二钠盐
[CAS# 5850-80-6]

供应商
BOC Sciences 美国 询价快递  
+1 (631) 485-4226
info@bocsci.com
Skype 聊天
化学品供销商
chemBlink 集群供应商(2012 年起)
International Laboratory Limited 美国 询价快递  
+1 (650) 278-9963
admin@intlab.org
化学品生产商(2002 年起)
基本信息
产品名称 二[2-氯-5-[(2-羟基-1-萘基)偶氮]-4-磺酸基苯甲酸]钙二钠盐
英文名 Calcium Disodium Bis[2-Chloro-5-[(2-Hydroxy-1-Naphthyl)Azo]-4-Sulphonatobenzoate]
别名 Calcium Disodium 2-Chloro-5-[(N'e)-N'-(2-Oxo-1-Naphthylidene)Hydrazino]-4-Sulfonato-Benzoate; Calcium Disodium 2-Chloro-5-[(N'e)-N'-(2-Oxo-1-Naphthylidene)Hydrazino]-4-Sulfonatobenzoate; Calcium Disodium 2-Chloro-5-[(N'e)-N'-(2-Keto-1-Naphthylidene)Hydrazino]-4-Sulfonato-Benzoate
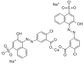
分子结构 CAS 登录号:5850-80-6, 二[2-氯-5-[(2-羟基-1-萘基)偶氮]-4-磺酸基苯甲酸]钙二钠盐
分子式 C34H18CaCl2N4Na2O12S2
分子量 895.62
CAS 登录号 5850-80-6
EINECS 登录号 227-456-5
分子行输入简码 SMILES C1=C\2C(=CC=C1)C=CC(=O)C2=N/NC3=C([S]([O-])(=O)=O)C=C(Cl)C(=C3)C([O-])=O.C4=C\5C(=CC=C4)C=CC(=O)C5=N/NC6=C([S]([O-])(=O)=O)C=C(Cl)C(=C6)C([O-])=O.[Ca++].[Na+].[Na+]
国际化学标识码 InChI 1S/2C17H11ClN2O6S.Ca.2Na/c2*18-12-8-15(27(24,25)26)13(7-11(12)17(22)23)19-20-16-10-4-2-1-3-9(10)5-6-14(16)21;;;/h2*1-8,19H,(H,22,23)(H,24,25,26);;;/q;;+2;2*+1/p-4/b2*20-16+;;;
国际化学标识检索码 InChIKey XQNJGOIUVORJSE-BVGCOCJXSA-J
市场分析报告
请浏览二[2-氯-5-[(2-羟基-1-萘基)偶氮]-4-磺酸基苯甲酸]钙二钠盐市场分析报告总目录
相关产品
2-羟基-丁二酸钾盐(1:2)  氨砜噻吨盐酸盐  2-丁基-苯并咪唑  泊司肯  2-(4-甲氧基苯基)-2-氧代乙基乙酸酯  1,2-二(4-甲氧基苯基)-(1R,2S)-re...  7-羟基-4-甲基-3-香豆素基乙酸  环丙奈德  草氨酸正丁酯  1,2-二甲基-6,7-二甲氧基-1,2,3,4-...  碳酸铈(III)水合物  3,4-二乙酰氧基-苯甲酸  3-羟基苯磺酸  N-(5-(二(2-羟基乙基)氨基)-2-((2,...  阿拉诺新