Online Database of Chemicals from Around the World

Antibiotic 333-25
[CAS# 59217-95-7]

Suppliers
CAS#: 59217-95-7
Product: Antibiotic 333-25
No suppilers available for the product.
Identification
Name Antibiotic 333-25
Synonyms N-[3-Amino-1-[[6,9,18-Tris(2-Aminoethyl)-3,12-Diisobutyl-2,5,8,11,14,17,20-Heptaoxo-15-(Phenylmethyl)-1,4,7,10,13,16,19-Heptazacyclotricos-21-Yl]Carbamoyl]Propyl]-3-Hydroxy-6-Methyl-Octanamide; N-[3-Amino-1-[Oxo-[[6,9,18-Tris(2-Aminoethyl)-3,12-Diisobutyl-2,5,8,11,14,17,20-Heptaoxo-15-(Phenylmethyl)-1,4,7,10,13,16,19-Heptazacyclotricos-21-Yl]Amino]Methyl]Propyl]-3-Hydroxy-6-Methyloctanamide; N-[3-Amino-1-[[6,9,18-Tris(2-Aminoethyl)-15-(Benzyl)-3,12-Diisobutyl-2,5,8,11,14,17,20-Heptaketo-1,4,7,10,13,16,19-Heptazacyclotricos-21-Yl]Carbamoyl]Propyl]-3-Hydroxy-6-Methyl-Caprylamide
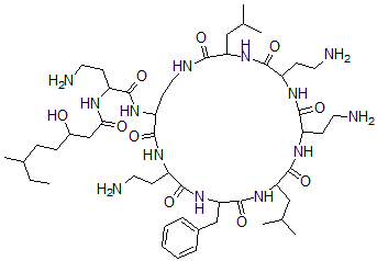
Molecular Structure CAS#: 59217-95-7, Antibiotic 333-25
Molecular Formula C50H87N13O10
Molecular Weight 1030.32
CAS Registry Number 59217-95-7
SMILES C2=C(CC1NC(=O)C(NC(=O)C(NC(=O)C(NC(=O)CC(O)CCC(CC)C)CCN)CCNC(=O)C(NC(=O)C(NC(=O)C(NC(=O)C(NC1=O)CC(C)C)CCN)CCN)CC(C)C)CCN)C=CC=C2
InChI 1S/C50H87N13O10/c1-7-31(6)13-14-33(64)28-42(65)56-34(15-20-51)44(67)60-38-19-24-55-43(66)39(25-29(2)3)61-46(69)36(17-22-53)57-45(68)35(16-21-52)59-49(72)40(26-30(4)5)62-50(73)41(27-32-11-9-8-10-12-32)63-47(70)37(18-23-54)58-48(38)71/h8-12,29-31,33-41,64H,7,13-28,51-54H2,1-6H3,(H,55,66)(H,56,65)(H,57,68)(H,58,71)(H,59,72)(H,60,67)(H,61,69)(H,62,73)(H,63,70)
InChIKey LXJHAXOSIOZDMJ-UHFFFAOYSA-N
Properties
Density 1.231g/cm3 (Cal.)
Boiling point 1383.371°C at 760 mmHg (Cal.)
Flash point 790.434°C (Cal.)
Market Analysis Reports
List of Reports Available for Antibiotic 333-25
Related Products
1,1-Dibutoxy-Butane  1-Methylhexyl Acetate  4-Octyl Acetate  Tetrahydro-2-Octylfuran  Disodium (Z)-4-(9-Octadecenylamino)-4-Ox...  N(epsilon)-Cbz-L-oxylysine  16-Phenyl-16-Azabicyclo[10.4.0]Hexadec-1...  Ethyl o-Toluenesulphonate  6-Amino-5-[(4-Chloro-5-Methyl-2-Sulfophe...  Vitamin B2 Acid  N-[3-(Dimethylamino)Propyl]Formamide  2-Methylmorpholine Hydrochloride  12-Bromomethyl-7-Methylbenz[a]Anthracene  Isodecyl Palmitate  2,3,6,7-Tetramethyloct-4-Yne-2,3,6,7-Tet...