Online Database of Chemicals from Around the World

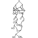
16-羟基-19-(1-羟基乙基)-6,15,27-三甲基-12H,24H-螺[2,5,11,14,18,25-六氧杂六环[24.2.1.03,9.04,6.09,27.013,15]二十九-20,22-二烯-28,2'-环氧乙烷]-12,24-二酮
[CAS# 61251-97-6]

供应商
CAS#: 61251-97-6
产品: 16-羟基-19-(1-羟基乙基)-6,15,27-三甲基-12H,24H-螺[2,5,11,14,18,25-六氧杂六环[24.2.1.03,9.04,6.09,27.013,15]二十九-20,22-二烯-28,2'-环氧乙烷]-12,24-二酮
暂时没有厂家供应该产品。
基本信息
产品名称 16-羟基-19-(1-羟基乙基)-6,15,27-三甲基-12H,24H-螺[2,5,11,14,18,25-六氧杂六环[24.2.1.03,9.04,6.09,27.013,15]二十九-20,22-二烯-28,2'-环氧乙烷]-12,24-二酮
英文名 16-Hydroxy-19-(1-Hydroxyethyl)-6,15,27-Trimethyl-12H,24H-Spiro[2,5,11,14,18,25-Hexaoxahexacyclo[24.2.1.03,9.04,6.09,27.013,15]Nonacosa-20,22-Diene-28,2'-Oxirane]-12,24-Dione
别名 B800157K386
分子结构 CAS 登录号:61251-97-6, 16-羟基-19-(1-羟基乙基)-6,15,27-三甲基-12H,24H-螺[2,5,11,14,18,25-六氧杂六环[24.2.1.0<sup>3,9</sup>.0<sup>4,6</sup>.0<sup>9,27</sup>.0<sup>13,15</sup>]二十九-20,22-二烯-28,2'-环氧乙烷]-12,24-二酮
分子式 C29H38O11
分子量 562.61
CAS 登录号 61251-97-6
分子行输入简码 SMILES O=C/6OC5CC4OC2C1OC1(C)CCC2(C5(C)C34OC3)COC(=O)C7OC7(C)C(O)COC(\C=C\C=C\6)C(O)C
国际化学标识码 InChI 1S/C29H38O11/c1-15(30)16-7-5-6-8-20(32)37-18-11-19-29(14-36-29)27(18,4)28(10-9-25(2)21(39-25)22(28)38-19)13-35-24(33)23-26(3,40-23)17(31)12-34-16/h5-8,15-19,21-23,30-31H,9-14H2,1-4H3/b7-5-,8-6-
国际化学标识检索码 InChIKey DGBITFNXKQHKLI-SFECMWDFSA-N
物理化学性质
密度 1.424g/cm3 (计算值)
沸点 799.088°C at 760 mmHg (计算值)
闪点 263.755°C (计算值)
市场分析报告
请浏览16-羟基-19-(1-羟基乙基)-6,15,27-三甲基-12H,24H-螺[2,5,11,14,18,25-六氧杂六环[24.2.1.03,9.04,6.09,27.013,15]二十九-20,22-二烯-28,2'-环氧乙烷]-12,24-二酮市场分析报告总目录
相关产品
4-氨基-N-(2-苯基乙基)苯甲酰胺  1-(2-甲基丁基)-1H-苯并咪唑  2-乙基-1-(2-甲基丁基)-1H-苯并咪唑  1-乙基-2-(3-戊烷基)-1H-苯并咪唑  5-[氨基(苯基)甲基]-2(1H)-吡啶酮  3-氨基-3-(2,6-二氟苯基)丙酸  3-氨基-3-(4-氟苯基)-1-丙醇  2-甲氧基-5-(三氟甲基)苯磺酰氯  1-溴-3-甲基咪唑并[1,5-a]吡啶  6-氯-1-(4-哌啶基)-1,4-二氢-2H-3...  N-[(1R)-2-环戊烯-1-基]-4-甲基苯磺...  1-偶氮-1,3-二氢-2H-苯并咪唑-2-硫酮  6-甲基喹啉硫酸盐(1:1)  1-环己基-2-苯乙酮  氯(3,4-二氯苄基)镁