Online Database of Chemicals from Around the World

Capreomycin IIB
[CAS# 62639-90-1]

Suppliers
CAS#: 62639-90-1
Product: Capreomycin IIB
No suppilers available for the product.
Identification
Name Capreomycin IIB
Synonyms [(Z)-[(3S,9S,12S,15S)-15-Amino-9-(Aminomethyl)-3-[(4R)-2-Amino-3,4,5,6-Tetrahydropyrimidin-4-Yl]-2,5,8,11,14-Pentaketo-12-Methyl-1,4,7,10,13-Pentazacyclohexadec-6-Ylidene]Methyl]Urea; Capreomycin Ia, 1-De-(L-3,6-Diaminohexanoic Acid)-6-L-Alanine; Capreomycin Iib
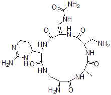
Molecular Structure CAS#: 62639-90-1, Capreomycin IIB
Molecular Formula C19H32N12O6
Molecular Weight 524.54
CAS Registry Number 62639-90-1
SMILES [C@H]1(NC(=NCC1)N)[C@@H]2NC(=O)\C(NC(=O)[C@@H](NC(=O)[C@@H](NC(=O)[C@@H](N)CNC2=O)C)CN)=C\NC(=O)N
InChI 1S/C19H32N12O6/c1-7-13(32)28-10(4-20)15(34)29-11(6-26-19(23)37)16(35)31-12(9-2-3-24-18(22)30-9)17(36)25-5-8(21)14(33)27-7/h6-10,12H,2-5,20-21H2,1H3,(H,25,36)(H,27,33)(H,28,32)(H,29,34)(H,31,35)(H3,22,24,30)(H3,23,26,37)/b11-6-/t7-,8-,9+,10-,12-/m0/s1
InChIKey MHBQQDNEPQYCOS-CBQPQWBASA-N
Properties
Density 1.818g/cm3 (Cal.)
Market Analysis Reports
List of Reports Available for Capreomycin IIB
Related Products
(2-Ethoxy-1-Propenyl)Triphenylphosphoniu...  Ajugarin I  4-[2-[(1R)-8aalpha-Acetoxymethyl-3,4,4ab...  4-[2-[(1S,8abeta)-4alpha-Acetoxy-4aalpha...  3-(N-Phthalimido)Propyltrichlorosilane  1-Butyl-1-Phenyl-Urea  Tetrahydro-1-Nitroso-2(1H)-Pyrimidinone  1-Nitroso-5,6-Dihydrothymine  2-Hydroxyethylnitrosocarbamic Acid Ethyl...  4,4'-Methylenebis[N-Furfurylideneaniline...  2-Amino-4,6-Dimercaptopyrimidine  1-Amino-4-[(1-Methylethyl)Amino]Anthraqu...  (E)-3-(4-Methoxyphenyl)-N-Methyl-Prop-2-...  Tetrahydro-alpha-[2-(Tetrahydrofuran-2-Y...  ( 8S-cis)-8-Acetyl-10-((3-Amino-2,3-Dide...