Online Database of Chemicals from Around the World

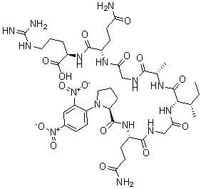
N2-[N2-[N-[N-[N-[N-[N2-[1-(2,4-二硝基苯基)-L-脯氨酰]-L-谷氨酰胺酰]甘氨酰]-L-异亮氨酰]-L-丙氨酰]甘氨酰]-L-谷氨酰胺酰]-D-精氨酸
[CAS# 63014-08-4]

供应商
Alfa Chemistry 美国 询价快递  
+1 (201) 478-8534
inquiry@alfa-chemistry.com
化学品供销商(2012 年起)
chemBlink 标准供应商(2012 年起)
BOC Sciences 美国 询价快递  
+1 (631) 485-4226
info@bocsci.com
Skype 聊天
化学品供销商
chemBlink 集群供应商(2012 年起)
Creative Peptides 美国 询价快递  
+1 (631) 624-4882
info@creative-peptides.com
化学品生产商
chemBlink 集群供应商(2016 年起)
International Laboratory Limited 美国 询价快递  
+1 (650) 278-9963
admin@intlab.org
化学品生产商(2002 年起)
基本信息
产品名称 N2-[N2-[N-[N-[N-[N-[N2-[1-(2,4-二硝基苯基)-L-脯氨酰]-L-谷氨酰胺酰]甘氨酰]-L-异亮氨酰]-L-丙氨酰]甘氨酰]-L-谷氨酰胺酰]-D-精氨酸
英文名 N2-[N2-[N-[N-[N-[N-[N2-[1-(2,4-Dinitrophenyl)-L-Prolyl]-L-Glutaminyl]Glycyl]-L-Isoleucyl]-L-Alanyl]Glycyl]-L-Glutaminyl]-D-Arginine
别名 N2-(N2-(N-(N-(N-(N-(N2-(1-(2,4-Dinitrophenyl)-L-Prolyl)-L-Glutaminyl)Glycyl)-L-Isoleucyl)-L-Alanyl)Glycyl)-L-Glutaminyl)-D-Arginine; D-Arginine, N(2)-(N(2)-(N-(N-(N-(N-(N(2)-(1-(2,4-Dinitrophenyl)-L-Prolyl)-L-Glutaminyl)Glycyl)-L-Isoleucyl)-L-Alanyl)Glycyl)-L-Glutaminyl)-
分子结构 CAS 登录号:63014-08-4, N2-[N2-[N-[N-[N-[N-[N2-[1-(2,4-二硝基苯基)-L-脯氨酰]-L-谷氨酰胺酰]甘氨酰]-L-异亮氨酰]-L-丙氨酰]甘氨酰]-L-谷氨酰胺酰]-D-精氨酸
分子式 C40H61N15O15
分子量 992.01
CAS 登录号 63014-08-4
EINECS 登录号 263-790-8
分子行输入简码 SMILES [C@@H]2(N(C1=CC=C([N+]([O-])=O)C=C1[N+]([O-])=O)CCC2)C(=O)N[C@H](C(=O)NCC(=O)N[C@H](C(=O)N[C@H](C(=O)NCC(=O)N[C@H](C(=O)N[C@@H](C(=O)O)CCCNC(=N)N)CCC(=O)N)C)[C@H](CC)C)CCC(=O)N
国际化学标识码 InChI 1S/C40H61N15O15/c1-4-20(2)33(38(64)48-21(3)34(60)46-18-31(58)49-24(11-14-30(42)57)36(62)51-25(39(65)66)7-5-15-45-40(43)44)52-32(59)19-47-35(61)23(10-13-29(41)56)50-37(63)27-8-6-16-53(27)26-12-9-22(54(67)68)17-28(26)55(69)70/h9,12,17,20-21,23-25,27,33H,4-8,10-11,13-16,18-19H2,1-3H3,(H2,41,56)(H2,42,57)(H,46,60)(H,47,61)(H,48,64)(H,49,58)(H,50,63)(H,51,62)(H,52,59)(H,65,66)(H4,43,44,45)/t20-,21-,23-,24-,25+,27-,33-/m0/s1
国际化学标识检索码 InChIKey WEAKOQKTQAUHGL-WCEVMLKJSA-N
蛋白质序列 Dnp-Pro-Gln-Gly-Ile-Ala-Gly-Gln-D-Arg-OH
市场分析报告
请浏览N2-[N2-[N-[N-[N-[N-[N2-[1-(2,4-二硝基苯基)-L-脯氨酰]-L-谷氨酰胺酰]甘氨酰]-L-异亮氨酰]-L-丙氨酰]甘氨酰]-L-谷氨酰胺酰]-D-精氨酸市场分析报告总目录
相关产品
5,5-二(丙-2-基巯基)戊烷-1,2,3-三醇  联苯-3-羧酸乙酯  1,1,1,2-四溴乙烷  2-苄基-5-甲基-5-丙基-1,3-二恶烷  2-[[2-(羟基亚胺)乙酰基]氨基]-苯甲酸甲酯  N-(环己基)琥珀酰亚胺  4-草屈醇  N-9H-咔唑-2-基-乙酰胺  3-(2-氧代-丙基)-吡啶鎓氯化物  1-环己基-2,2,2-三氟-乙酮  1,1,1,2-四氯乙烷  四氢-6-苯氧基-2H-吡喃-2-羧酸乙酯  3-(4,5-二氢-1H-咪唑-2-基)吡啶  1-(4-氯苯基)-1,3-丁烷二酮  4-巯基苯甲酸甲酯