Online Database of Chemicals from Around the World

Polymyxin T1
[CAS# 63700-39-0]

Suppliers
CAS#: 63700-39-0
Product: Polymyxin T1
No suppilers available for the product.
Identification
Name Polymyxin T1
Synonyms N-[3-Amino-1-[[1-[[3-Amino-1-[[6,9,18-Tris(2-Aminoethyl)-3,12-Diisobutyl-2,5,8,11,14,17,20-Heptaoxo-15-(Phenylmethyl)-1,4,7,10,13,16,19-Heptazacyclotricos-21-Yl]Carbamoyl]Propyl]Carbamoyl]-2-Hydroxy-Propyl]Carbamoyl]Propyl]-6-Methyl-Octanamide; N-[3-Amino-1-[[[1-[[[3-Amino-1-[Oxo-[[6,9,18-Tris(2-Aminoethyl)-3,12-Diisobutyl-2,5,8,11,14,17,20-Heptaoxo-15-(Phenylmethyl)-1,4,7,10,13,16,19-Heptazacyclotricos-21-Yl]Amino]Methyl]Propyl]Amino]-Oxomethyl]-2-Hydroxypropyl]Amino]-Oxomethyl]Propyl]-6-Methyloctanamide; N-[3-Amino-1-[[1-[[3-Amino-1-[[6,9,18-Tris(2-Aminoethyl)-15-(Benzyl)-3,12-Diisobutyl-2,5,8,11,14,17,20-Heptaketo-1,4,7,10,13,16,19-Heptazacyclotricos-21-Yl]Carbamoyl]Propyl]Carbamoyl]-2-Hydroxy-Propyl]Carbamoyl]Propyl]-6-Methyl-Caprylamide
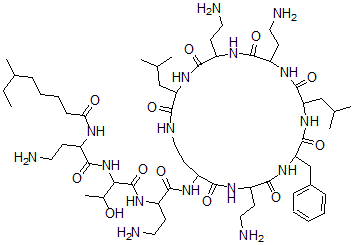
Molecular Structure CAS#: 63700-39-0, Polymyxin T1
Molecular Formula C58H102N16O12
Molecular Weight 1215.54
CAS Registry Number 63700-39-0
SMILES C2=C(CC1NC(=O)C(NC(=O)C(NC(=O)C(NC(=O)C(NC(=O)C(NC(=O)CCCCC(CC)C)CCN)C(O)C)CCN)CCNC(=O)C(NC(=O)C(NC(=O)C(NC(=O)C(NC1=O)CC(C)C)CCN)CCN)CC(C)C)CCN)C=CC=C2
InChI 1S/C58H102N16O12/c1-8-35(6)14-12-13-17-47(76)65-38(18-24-59)55(83)74-48(36(7)75)58(86)70-42(22-28-63)51(79)69-43-23-29-64-49(77)44(30-33(2)3)71-52(80)40(20-26-61)66-50(78)39(19-25-60)68-56(84)45(31-34(4)5)72-57(85)46(32-37-15-10-9-11-16-37)73-53(81)41(21-27-62)67-54(43)82/h9-11,15-16,33-36,38-46,48,75H,8,12-14,17-32,59-63H2,1-7H3,(H,64,77)(H,65,76)(H,66,78)(H,67,82)(H,68,84)(H,69,79)(H,70,86)(H,71,80)(H,72,85)(H,73,81)(H,74,83)
InChIKey IQLZHIIINCHIKY-UHFFFAOYSA-N
Properties
Density 1.245g/cm3 (Cal.)
Boiling point 1541.581°C at 760 mmHg (Cal.)
Flash point 886.116°C (Cal.)
Market Analysis Reports
List of Reports Available for Polymyxin T1
Related Products
Acid Blue 158 A  Ammonium Diisododecylnaphthalenesulphona...  Sodium Diisododecylnaphthalenesulphonate  (5R,6S)-3-[[2-(Acetylamino)Ethyl]Thio]-6...  1-(2,5-Dimethoxyphenyl)-5-[[(4-methoxyph...  S(-)-Baclofen Hydrochloride  3-Methoxy-17-Methylmorphinan-4,8alpha-Di...  N,N-Diethyl-4-Nitroso-o-Toluidine  2-[(4-Ethoxyphenyl)Azo]-p-Cresol  1-(2,5-Dichlorophenyl)-3,4-Dihydro-4,4,6...  7-(1,2,3,4-Tetrahydro-4,4,6-Trimethyl-2-...  3,4-Dihydro-1-(M-Hydroxyphenyl)-4,4,6-Tr...  3,4-Dihydro-1-(O-Hydroxyphenyl)-4,4,6-Tr...  3,4-Dihydro-1-(1-Naphtyl)-4,4,6-Trimethy...  3,4-Dihydro-1-(2-Naphtyl)-4,4,6-Trimethy...