Online Database of Chemicals from Around the World

3'-O-(4(N-(4-叠氮基-2-硝基苯基)氨基)丁酰基)腺苷 5'-二磷酸酯
[CAS# 64655-48-7]

供应商
CAS#: 64655-48-7
产品: 3'-O-(4(N-(4-叠氮基-2-硝基苯基)氨基)丁酰基)腺苷 5'-二磷酸酯
暂时没有厂家供应该产品。
基本信息
产品名称 3'-O-(4(N-(4-叠氮基-2-硝基苯基)氨基)丁酰基)腺苷 5'-二磷酸酯
英文名 3'-O-(4(N-(4-Azido-2-nitrophenyl)amino)butyryl)adenosine 5'-diphosphate
别名 [(2R,3S,4R,5R)-5-(6-Aminopurin-9-Yl)-4-Hydroxy-2-[(Hydroxy-Phosphonooxy-Phosphoryl)Oxymethyl]Tetrahydrofuran-3-Yl] 4-[(4-Azido-2-Nitro-Phenyl)Amino]Butanoate; 4-[(4-Azido-2-Nitrophenyl)Amino]Butanoic Acid [(2R,3S,4R,5R)-5-(6-Amino-9-Purinyl)-4-Hydroxy-2-[(Hydroxy-Phosphonooxyphosphoryl)Oxymethyl]-3-Tetrahydrofuranyl] Ester; 4-[(4-Azido-2-Nitro-Phenyl)Amino]Butyric Acid [(2R,3S,4R,5R)-5-(6-Aminopurin-9-Yl)-4-Hydroxy-2-[(Hydroxy-Phosphonooxy-Phosphoryl)Oxymethyl]Tetrahydrofuran-3-Yl] Ester
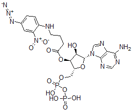
分子结构 CAS 登录号:64655-48-7, 3'-O-(4(N-(4-叠氮基-2-硝基苯基)氨基)丁酰基)腺苷 5'-二磷酸酯
分子式 C20H24N10O13P2
分子量 674.42
CAS 登录号 64655-48-7
分子行输入简码 SMILES [N+](=NC4=CC=C(NCCCC(O[C@H]1[C@@H](O)[C@@H](O[C@@H]1CO[P](O[P](=O)(O)O)(=O)O)[N]2C3=C(N=C2)C(=NC=N3)N)=O)C(=C4)[N+]([O-])=O)=[N-]
国际化学标识码 InChI 1S/C20H24N10O13P2/c21-18-15-19(25-8-24-18)29(9-26-15)20-16(32)17(13(41-20)7-40-45(38,39)43-44(35,36)37)42-14(31)2-1-5-23-11-4-3-10(27-28-22)6-12(11)30(33)34/h3-4,6,8-9,13,16-17,20,23,32H,1-2,5,7H2,(H,38,39)(H2,21,24,25)(H2,35,36,37)/t13-,16-,17-,20-/m1/s1
国际化学标识检索码 InChIKey YTAVNNUJTVNNFN-AEVYOOLXSA-N
市场分析报告
请浏览3'-O-(4(N-(4-叠氮基-2-硝基苯基)氨基)丁酰基)腺苷 5'-二磷酸酯市场分析报告总目录
相关产品
(3R,6aalpha)-5alpha-乙酰氧基十...  1alpha,6beta,7beta,9alpha...  14,15-二氢毛喉素  钙杀畏  3-甲基双环[2.2.1]庚-5-烯-2-甲醛  6,7-二氢-1,3-二甲基-8-[(2-氧代丙基...  4-(苯基甲基)-嘧啶  7-半胱氨酰去氢倒千里光裂碱  共轭的谷胱甘肽-去氢倒千里光裂碱  1,3-二甲基-8-(癸基硫代)-2-硫代-2,3...  1,3-二甲基-8-(十二烷基硫代)-2-硫代-1...  8-(环己基硫代)-1,3-二甲基-2-硫代-2,...  8-[(2-吡啶甲基)硫代]-1,3-二甲基-3,...  8-[(3-吡啶甲基)硫代]-3,7-二氢-1,3...  3,7-二氢-1,3-二甲基-8-(甲硫基)-1H...