Online Database of Chemicals from Around the World

环糊精-苯甲醛
[CAS# 64691-57-2]

供应商
CAS#: 64691-57-2
产品: 环糊精-苯甲醛
暂时没有厂家供应该产品。
基本信息
产品名称 环糊精-苯甲醛
英文名 Cyclodextrin-Benzaldehyde
别名 Beta-Cyclodextrin, Compd. With Benzaldehyde (1:1); Beta-Cyclodextrin-Benzaldehyde
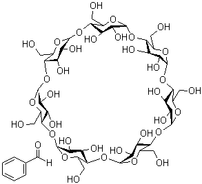
分子结构 CAS 登录号:64691-57-2, 环糊精-苯甲醛
分子式 C49H76O36
分子量 1241.12
CAS 登录号 64691-57-2
分子行输入简码 SMILES [C@@H]12O[C@H]8O[C@@H]([C@@H](O[C@H]7O[C@@H]([C@@H](O[C@H]6O[C@@H]([C@@H](O[C@H]5O[C@@H]([C@@H](O[C@H]4O[C@@H]([C@@H](O[C@H]3O[C@@H]([C@@H](O[C@@H](O[C@@H]1CO)[C@H](O)[C@H]2O)[C@H](O)[C@H]3O)CO)[C@H](O)[C@H]4O)CO)[C@H](O)[C@H]5O)CO)[C@H](O)[C@H]6O)CO)[C@H](O)[C@H]7O)CO)[C@H](O)[C@H]8O)CO.C9=C(C=CC=C9)C=O
国际化学标识码 InChI 1S/C42H70O35.C7H6O/c43-1-8-29-15(50)22(57)36(64-8)72-30-9(2-44)66-38(24(59)17(30)52)74-32-11(4-46)68-40(26(61)19(32)54)76-34-13(6-48)70-42(28(63)21(34)56)77-35-14(7-49)69-41(27(62)20(35)55)75-33-12(5-47)67-39(25(60)18(33)53)73-31-10(3-45)65-37(71-29)23(58)16(31)51;8-6-7-4-2-1-3-5-7/h8-63H,1-7H2;1-6H/t8-,9-,10-,11-,12-,13-,14-,15-,16-,17-,18-,19-,20-,21-,22-,23-,24-,25-,26-,27-,28-,29-,30-,31-,32-,33-,34-,35-,36-,37-,38-,39-,40-,41-,42-;/m1./s1
国际化学标识检索码 InChIKey WFHFGDIKIXDWNX-ZQOBQRRWSA-N
市场分析报告
请浏览环糊精-苯甲醛市场分析报告总目录
相关产品
4-[(4-二甲基氨基苯基)亚氨基]-2-甲基-2...  4-[(4-二甲基氨基苯基)亚氨基]-2-甲氧基-...  N-[3-[(4-二甲基氨基苯基)亚氨基]-6-氧...  4-溴亚氨基-2,6-二溴-2,5-环己二烯-1-...  4-甲基噻唑-5-丙酸  4-溴亚氨基-2,6-二氯-2,5-环己二烯-1-...  N,N'-二(乙烯)-P-(1-金刚烷基)膦二酰胺  1-硝基-L-脯氨酸  1-硝基-D-脯氨酸  氯普噻唑  N-乙酰基-7H-二苯并(c,g)咔唑  1,3,3-三氯丁烷-2-酮  2-O-羧甲基葡萄糖  2-(4-氯苯基硫代)苯甲酸  3-氯-9H-噻吨-9-酮