Online Database of Chemicals from Around the World

Adenylyl-(5'-2')-Adenylyl-(5'-2')-Adenosine 5'-(tetrahydrogen triphosphate)
[CAS# 65954-93-0]

Suppliers
CAS#: 65954-93-0
Product: Adenylyl-(5'-2')-Adenylyl-(5'-2')-Adenosine 5'-(tetrahydrogen triphosphate)
No suppilers available for the product.
Identification
Name Adenylyl-(5'-2')-Adenylyl-(5'-2')-Adenosine 5'-(tetrahydrogen triphosphate)
Synonyms [(2R,3R,4R,5R)-5-(6-Aminopurin-9-Yl)-4-[[(2R,3S,4R)-5-(6-Aminopurin-9-Yl)-3,4-Dihydroxy-Tetrahydrofuran-2-Yl]Methoxy-Hydroxy-Phosphoryl]Oxy-3-Hydroxy-Tetrahydrofuran-2-Yl]Methyl [(2R,4R,5R)-2-(6-Aminopurin-9-Yl)-4-Hydroxy-5-[[Hydroxy-(Hydroxy-Phosphonooxy-Phosphoryl)Oxy-Phosphoryl]Oxymethyl]Tetrahydrofuran-3-Yl] Hydrogen Phosphate; [(2R,3R,4R,5R)-5-(6-Amino-9-Purinyl)-4-[[(2R,3S,4R)-5-(6-Amino-9-Purinyl)-3,4-Dihydroxy-2-Tetrahydrofuranyl]Methoxy-Hydroxyphosphoryl]Oxy-3-Hydroxy-2-Tetrahydrofuranyl]Methyl [(2R,4R,5R)-2-(6-Amino-9-Purinyl)-4-Hydroxy-5-[[Hydroxy-(Hydroxy-Phosphonooxyphosphoryl)Oxyphosphoryl]Oxymethyl]-3-Tetrahydrofuranyl] Hydrogen Phosphate; [(2R,3R,4R,5R)-5-(6-Aminopurin-9-Yl)-4-[[(2R,3S,4R)-5-(6-Aminopurin-9-Yl)-3,4-Dihydroxy-Oxolan-2-Yl]Methoxy-Hydroxy-Phosphoryl]Oxy-3-Hydroxy-Oxolan-2-Yl]Methyl [(2R,4R,5R)-2-(6-Aminopurin-9-Yl)-4-Hydroxy-5-[[Hydroxy-(Hydroxy-Phosphonooxy-Phosphoryl)Oxy-Phosphoryl]Oxymethyl]Oxolan-3-Yl] Hydrogen Phosphate
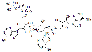
Molecular Structure CAS#: 65954-93-0, Adenylyl-(5'-2')-Adenylyl-(5'-2')-Adenosine 5'-(tetrahydrogen triphosphate)
Molecular Formula C30H40N15O25P5
Molecular Weight 1165.60
CAS Registry Number 65954-93-0
SMILES [N]9(C1O[C@@H]([C@@H](O)[C@H]1O)CO[P](O[C@H]2[C@@H](O[C@@H]([C@H]2O)CO[P](OC3[C@@H](O[C@@H]([C@H]3O)CO[P](O[P](O[P](=O)(O)O)(=O)O)(=O)O)[N]4C5=C(N=C4)C(=NC=N5)N)(=O)O)[N]6C7=C(N=C6)C(=NC=N7)N)(=O)O)C8=NC=NC(=C8N=C9)N
InChI 1S/C30H40N15O25P5/c31-22-13-25(37-4-34-22)43(7-40-13)28-19(49)16(46)10(64-28)1-61-72(53,54)67-20-17(47)11(65-29(20)44-8-41-14-23(32)35-5-38-26(14)44)2-62-73(55,56)68-21-18(48)12(3-63-74(57,58)70-75(59,60)69-71(50,51)52)66-30(21)45-9-42-15-24(33)36-6-39-27(15)45/h4-12,16-21,28-30,46-49H,1-3H2,(H,53,54)(H,55,56)(H,57,58)(H,59,60)(H2,31,34,37)(H2,32,35,38)(H2,33,36,39)(H2,50,51,52)/t10-,11-,12-,16-,17-,18-,19-,20-,21?,28?,29-,30-/m1/s1
InChIKey RTAGLZBJCCVJET-MFSXEPBNSA-N
Properties
Density 2.61g/cm3 (Cal.)
Market Analysis Reports
List of Reports Available for Adenylyl-(5'-2')-Adenylyl-(5'-2')-Adenosine 5'-(tetrahydrogen triphosphate)
Related Products
3beta-O-(4-Amino-4,6-Dideoxy-beta-D-gluc...  Choline Octadecyl Phosphate  Tetradecahydro-Anthracene  Naphtho[2'.8',2.4]Coronene  Pentacontane  N-Acetylcolchinol, Methyl Ether  N'-(4-Aminophenyl)Acetohydrazide  2,5-Dihydroxy-4-Octadecylbenzenesulphoni...  2-Thioxo-1,3-Dimethyl-1H-Imidazole  2-Methylene-2H-Indene  Trimethoxyarsane  Tris(Dimethylamino)Arsine  Nonanedioic Acid, Polymer With 2,2-Bis(H...  2-Methyl-2-Propenoic Acid Polymer With B...  Tetrachlorophthalic Anhydride-Glycerin E...