Online Database of Chemicals from Around the World

Human growth hormone (177-191)
[CAS# 66004-58-8]

Suppliers
Alfa Chemistry USA Inquire  
+1 (201) 478-8534
inquiry@alfa-chemistry.com
Chemical distributor since 2012
chemBlink standard supplier since 2012
BOC Sciences USA Inquire  
+1 (631) 485-4226
info@bocsci.com
Skype Chat
Chemical distributor
chemBlink massive supplier since 2012
Identification
Name Human growth hormone (177-191)
Synonyms Human Growth Hormone (177-191); L-Phenylalanine, L-Leucyl-L-Arginyl-L-Isoleucyl-L-Valyl-L-Glutaminyl-L-Cysteinyl-L-Arginyl-L-Seryl-L-Valyl-L-Alpha-Glutamylglycyl-L-Seryl-L-Cysteinylglycyl-, Cyclic (6-13)-Disulfide; Somatotropin (177-191)
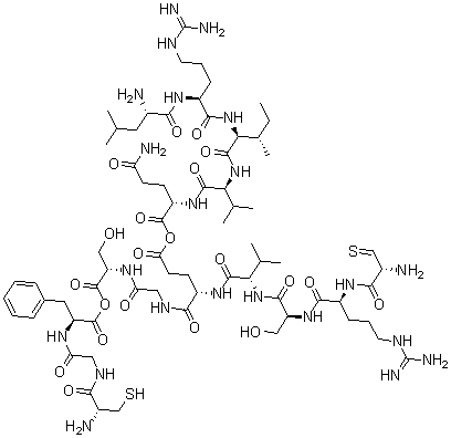
Molecular Structure CAS#: 66004-58-8, Human growth hormone (177-191)
Molecular Formula C69H114N22O21S2
Molecular Weight 1651.91
CAS Registry Number 66004-58-8
SMILES [C@H](C(=O)OC([C@@H](NC(CNC([C@@H](NC([C@@H](NC([C@@H](NC([C@@H](NC([C@@H](N)C=S)=O)CCCNC(=N)N)=O)CO)=O)C(C)C)=O)CCC(=O)OC([C@@H](NC([C@@H](NC([C@@H](NC([C@@H](NC([C@@H](N)CC(C)C)=O)CCCNC(=N)N)=O)[C@H](CC)C)=O)C(C)C)=O)CCC(=O)N)=O)=O)=O)CO)=O)(NC(CNC([C@@H](N)CS)=O)=O)CC1=CC=CC=C1
InChI 1S/C69H114N22O21S2/c1-9-36(8)54(91-60(103)42(18-14-24-79-69(76)77)84-56(99)38(70)25-33(2)3)64(107)90-53(35(6)7)63(106)87-44(19-21-48(73)94)65(108)111-51(97)22-20-43(86-62(105)52(34(4)5)89-61(104)46(29-92)88-59(102)41(17-13-23-78-68(74)75)85-57(100)40(72)32-114)58(101)81-28-50(96)83-47(30-93)67(110)112-66(109)45(26-37-15-11-10-12-16-37)82-49(95)27-80-55(98)39(71)31-113/h10-12,15-16,32-36,38-47,52-54,92-93,113H,9,13-14,17-31,70-72H2,1-8H3,(H2,73,94)(H,80,98)(H,81,101)(H,82,95)(H,83,96)(H,84,99)(H,85,100)(H,86,105)(H,87,106)(H,88,102)(H,89,104)(H,90,107)(H,91,103)(H4,74,75,78)(H4,76,77,79)/t36-,38-,39-,40-,41-,42-,43-,44-,45-,46-,47-,52-,53-,54-/m0/s1
InChIKey CTQNLXWEQXSGSA-YBHXOQPNSA-N
Properties
Density 1.47g/cm3 (Cal.)
Market Analysis Reports
List of Reports Available for Human growth hormone (177-191)
Related Products
Heptanoic Acid Octadecyl Ester  2,6-Dibromopyridin-3-Ol  3-Sulfo-2-Pyridinecarboxylicacid  2,3-Pyridinedisulfonicacid  4-(4-Bromophenyl)-2-Methyl-Thiazole  1-Bromo-4-(Hexyloxy)-Naphthalene  P-[(1S)-1-Aminoethyl]-Phosphonic Acid  Butadiene-styrene polymer  Calcium octadecanoate  2-(Methylthio)-Benzonitrile  (5Z,8Z,11Z,14Z)-5,8,11,14-Eicosatetraeno...  N-Butyl-Hydrazinecarbothioamide  N-(4,5,6,7-Tetrahydro-7-Oxobenzo[b]Thiop...  4-(Dichloromethyl)-4-Methyl-2,5-Cyclohex...  (6-Hydroxy-2,2-dimethyl-3a,5,6,6a-tetrah...