Identification
| Name |
Uridine-2-Deoxy-2-Fluoro-D-Glucose Diphosphate Ester |
| Synonyms |
[(2R,3S,4R)-5-(2,4-Dioxopyrimidin-1-Yl)-3,4-Dihydroxy-Tetrahydrofuran-2-Yl]Methyl [[(3R,4S,5S,6R)-3-Fluoro-4,5-Dihydroxy-6-(Hydroxymethyl)Tetrahydropyran-2-Yl]Oxy-Hydroxy-Phosphoryl] Hydrogen Phosphate; [(2R,3S,4R)-5-(2,4-Dioxo-1-Pyrimidinyl)-3,4-Dihydroxy-2-Tetrahydrofuranyl]Methyl [[(3R,4S,5S,6R)-3-Fluoro-4,5-Dihydroxy-6-(Hydroxymethyl)-2-Tetrahydropyranyl]Oxy-Hydroxyphosphoryl] Hydrogen Phosphate; [(2R,3S,4R)-5-(2,4-Diketopyrimidin-1-Yl)-3,4-Dihydroxy-Tetrahydrofuran-2-Yl]Methyl [[(3R,4S,5S,6R)-3-Fluoro-4,5-Dihydroxy-6-Methylol-Tetrahydropyran-2-Yl]Oxy-Hydroxy-Phosphoryl] Hydrogen Phosphate |
|
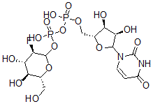
| Molecular Structure |
 |
| Molecular Formula |
C15H23FN2O16P2 |
| Molecular Weight |
568.30 |
| CAS Registry Number |
67341-43-9 |
| SMILES |
N3(C1O[C@@H]([C@@H](O)[C@H]1O)CO[P](O[P](OC2O[C@@H]([C@@H](O)[C@H](O)[C@H]2F)CO)(=O)O)(=O)O)C(=O)NC(=O)C=C3 |
| InChI |
1S/C15H23FN2O16P2/c16-8-11(23)9(21)5(3-19)32-14(8)33-36(28,29)34-35(26,27)30-4-6-10(22)12(24)13(31-6)18-2-1-7(20)17-15(18)25/h1-2,5-6,8-14,19,21-24H,3-4H2,(H,26,27)(H,28,29)(H,17,20,25)/t5-,6-,8-,9-,10-,11-,12-,13?,14?/m1/s1 |
| InChIKey |
NGTCPFGWXMBZEP-BIBYWHHWSA-N |
|