Online Database of Chemicals from Around the World

异帕米星硫酸盐
[CAS# 68000-78-2]

供应商
Biosynth AG. 瑞士 询价快递  
+41 (71) 858-2020
welcome@biosynth.ch
化学品生产商
基本信息
产品名称 异帕米星硫酸盐
英文名 Isepamicinsulfate
别名 (2S)-3-Amino-N-[(1R,2S,3S,4R,5S)-5-Amino-4-[(2R,3R,4S,5S,6R)-6-(Aminomethyl)-3,4,5-Trihydroxy-Tetrahydropyran-2-Yl]Oxy-2-[(2R,3R,4R,5R)-3,5-Dihydroxy-5-Methyl-4-Methylamino-Tetrahydropyran-2-Yl]Oxy-3-Hydroxy-Cyclohexyl]-2-Hydroxy-Propanamide; Sulfuric Acid; (2S)-3-Amino-N-[(1R,2S,3S,4R,5S)-5-Amino-4-[[(2R,3R,4S,5S,6R)-6-(Aminomethyl)-3,4,5-Trihydroxy-2-Tetrahydropyranyl]Oxy]-2-[[(2R,3R,4R,5R)-3,5-Dihydroxy-5-Methyl-4-Methylamino-2-Tetrahydropyranyl]Oxy]-3-Hydroxycyclohexyl]-2-Hydroxypropanamide; Sulfuric Acid; (2S)-3-Amino-N-[(1R,2S,3S,4R,5S)-5-Amino-4-[(2R,3R,4S,5S,6R)-6-(Aminomethyl)-3,4,5-Trihydroxy-Tetrahydropyran-2-Yl]Oxy-2-[(2R,3R,4R,5R)-3,5-Dihydroxy-5-Methyl-4-Methylamino-Tetrahydropyran-2-Yl]Oxy-3-Hydroxy-Cyclohexyl]-2-Hydroxy-Propionamide; Sulfuric Acid
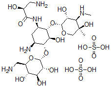
分子结构 CAS 登录号:68000-78-2, 异帕米星硫酸盐
分子式 C22H47N5O20S2
分子量 765.75
CAS 登录号 68000-78-2
分子行输入简码 SMILES [C@H]3(O[C@@H]2[C@@H](O)[C@H](O[C@H]1O[C@@H]([C@@H](O)[C@H](O)[C@H]1O)CN)[C@@H](N)C[C@H]2NC(=O)[C@@H](O)CN)OC[C@](O)([C@H](NC)[C@H]3O)C.O=[S](=O)(O)O.O=[S](=O)(O)O
国际化学标识码 InChI 1S/C22H43N5O12.2H2O4S/c1-22(35)6-36-20(15(33)18(22)26-2)39-17-8(27-19(34)9(28)4-23)3-7(25)16(14(17)32)38-21-13(31)12(30)11(29)10(5-24)37-21;2*1-5(2,3)4/h7-18,20-21,26,28-33,35H,3-6,23-25H2,1-2H3,(H,27,34);2*(H2,1,2,3,4)/t7-,8+,9-,10+,11+,12-,13+,14-,15+,16+,17-,18+,20+,21+,22-;;/m0../s1
国际化学标识检索码 InChIKey KENHPEYNCGCZOF-XZWSBQPUSA-N
物理化学性质
沸点 926.8°C at 760 mmHg (计算值)
闪点 514.3°C (计算值)
安全数据
SDS 化学品安全技术说明书参考文本
市场分析报告
请浏览异帕米星硫酸盐市场分析报告总目录
相关产品
法呢基半胱氨酸  1,3,5-三嗪-2,4,6-三胺与甲醛聚合物 (...  4,4-(1-甲基乙亚基)二苯酚与(氯甲基)环氧乙...  4,4-(1-甲基乙亚基)二苯酚与(氯甲基)环氧乙...  (3beta,5alpha,6beta)-3-(乙...  2-[2-(2-氰基乙氧基)乙氧基]-5-壬基苯磺...  富马酸, 丙氧基化双酚 A, 丙二醇聚合物  4-[(2-氯-5-磺基苯基)偶氮]偶氮苯氯化物  (2-羟基丙基)铵原硼酸二氢盐  6-(二乙基氨基)-1,3,5-三嗪-2,4-二亚...  (E)-十四碳-1-烯-1,11-二磺酸二钠盐  (E)-十四碳-1-烯-1,14-二磺酸  十六碳-1-烯二磺酸  二壬基苯基聚氧乙烯醚硫酸酯铵盐  N-(2-氰基乙基)-N-[2-[[2-[(1-氧...