Online Database of Chemicals from Around the World

十二烷基-4-(4-磺基苯氧基)-苯磺酸铵盐(1:2)
[CAS# 69834-23-7]

供应商
Achemica 瑞士 询价快递  
+41 (24) 466-2929
contact@achemica.com
化学品生产商(2010 年起)
Alfa Chemistry 美国 询价快递  
+1 (201) 478-8534
inquiry@alfa-chemistry.com
化学品供销商(2012 年起)
chemBlink 标准供应商(2012 年起)
BOC Sciences 美国 询价快递  
+1 (631) 485-4226
info@bocsci.com
Skype 聊天
化学品供销商
chemBlink 集群供应商(2012 年起)
基本信息
产品名称 十二烷基-4-(4-磺基苯氧基)-苯磺酸铵盐(1:2)
英文名 Dodecyl-4-(4-Sulfophenoxy)-Benzenesulfonic Acid Ammonium Salt (1:2)
别名 Diammonium 2-Dodecyl-4-(4-Sulfonatophenoxy)Benzenesulfonate; Diammonium 2-Lauryl-4-(4-Sulfonatophenoxy)Benzenesulfonate; Benzenesulfonic Acid, Dodecyl-4-(4-Sulfophenoxy)-, Diammonium Salt
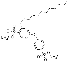
分子结构 CAS 登录号:69834-23-7, 十二烷基-4-(4-磺基苯氧基)-苯磺酸铵盐(1:2)
分子式 C24H40N2O7S2
分子量 532.71
CAS 登录号 69834-23-7
EINECS 登录号 274-145-5
分子行输入简码 SMILES C2=C(OC1=CC=C([S]([O-])(=O)=O)C=C1)C=CC(=C2CCCCCCCCCCCC)[S]([O-])(=O)=O.[NH4+].[NH4+]
国际化学标识码 InChI 1S/C24H34O7S2.2H3N/c1-2-3-4-5-6-7-8-9-10-11-12-20-19-22(15-18-24(20)33(28,29)30)31-21-13-16-23(17-14-21)32(25,26)27;;/h13-19H,2-12H2,1H3,(H,25,26,27)(H,28,29,30);2*1H3
国际化学标识检索码 InChIKey BDEGCBYFVTXJKF-UHFFFAOYSA-N
物理化学性质
沸点 732.9°C at 760 mmHg (计算值)
闪点 397°C (计算值)
市场分析报告
请浏览十二烷基-4-(4-磺基苯氧基)-苯磺酸铵盐(1:2)市场分析报告总目录
相关产品
N-(2-(5,6-二甲氧基-1H-吲哚-3-基)...  L-酪氨酸钠盐 (1:2)  (S)-6-氨基-2-[[(苯基甲氧基)羰基]氨基...  1-(1-乙氧基乙氧基)-2-甲基-丙烷  4-碘-N,N-二甲基-苯胺  2-甲氧基-N-(苯基甲基)-苯甲胺  (+)-筒箭毒碱氯化物盐酸盐五水合物  1-(2-溴苯基)-1H-吡咯  3-(3,5-二氯苯基)-1-(2-乙氧基-1-氧...  4-(2-呋喃基)-2-丁酮  三(羟基甲基)氨基甲烷磷酸盐  四氟琥珀酸酐  5,5-二氯巴比妥酸  N-(1-氧代-2-吡啶基)-乙酰胺  十八烷酸锡(2+)盐(2:1)