Identification
| Name |
1,2-Hexanoylthiophosphotidylcholine |
| Synonyms |
2,3-Bis(Hexanoylsulfanyl)Propyl 2-Trimethylammonioethyl Phosphate; 2,3-Bis(1-Oxohexylthio)Propyl 2-Trimethylammonioethyl Phosphate; 2,3-Bis(Caproylthio)Propyl 2-Trimethylammonioethyl Phosphate |
|
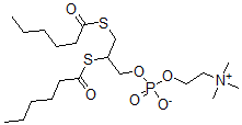
| Molecular Structure |
 |
| Molecular Formula |
C20H40NO6PS2 |
| Molecular Weight |
485.63 |
| CAS Registry Number |
70504-26-6 |
| SMILES |
C(O[P](OCC[N+](C)(C)C)([O-])=O)C(SC(=O)CCCCC)CSC(=O)CCCCC |
| InChI |
1S/C20H40NO6PS2/c1-6-8-10-12-19(22)29-17-18(30-20(23)13-11-9-7-2)16-27-28(24,25)26-15-14-21(3,4)5/h18H,6-17H2,1-5H3 |
| InChIKey |
QPSMEAOJASLTHO-UHFFFAOYSA-N |
|