基本信息
| 产品名称 |
磷酸(羟基-异戊氧基磷酰)二异戊基酯 |
| 英文名 |
Phosphoric acid (hydroxy-isopentyloxyphosphoryl) diisopentyl ester |
| 别名 |
(Hydroxy-Isopentyloxy-Phosphoryl) Diisopentyl Phosphate; Phosphoric Acid (Hydroxy-Isopentyloxyphosphoryl) Diisopentyl Ester; Phosphoric Acid (Hydroxy-Isoamoxy-Phosphoryl) Diisoamyl Ester |
|
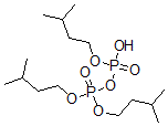
| 分子结构 |
 |
| 分子式 |
C15H34O7P2 |
| 分子量 |
388.38 |
| CAS 登录号 |
70714-98-6 |
| 分子行输入简码 SMILES |
C(O[P](O[P](=O)(O)OCCC(C)C)(=O)OCCC(C)C)CC(C)C |
| 国际化学标识码 InChI |
1S/C15H34O7P2/c1-13(2)7-10-19-23(16,17)22-24(18,20-11-8-14(3)4)21-12-9-15(5)6/h13-15H,7-12H2,1-6H3,(H,16,17) |
| 国际化学标识检索码 InChIKey |
JEAXWMPPPGJBFX-UHFFFAOYSA-N |
|