Identification
| Name |
(+)-Zoapatanol |
| Synonyms |
(6R)-9-[(2S,3R,6E)-3-Hydroxy-6-(2-Hydroxyethylidene)-2-Methyl-Oxepan-2-Yl]-2,6-Dimethyl-Non-2-En-5-One; (6R)-9-[(2S,3R,6E)-3-Hydroxy-6-(2-Hydroxyethylidene)-2-Methyl-2-Oxepanyl]-2,6-Dimethylnon-2-En-5-One; C09205 |
|
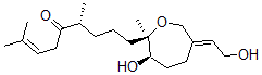
| Molecular Structure |
 |
| Molecular Formula |
C20H34O4 |
| Molecular Weight |
338.49 |
| CAS Registry Number |
71117-51-6 |
| SMILES |
[C@@]1(OCC(/CC[C@H]1O)=C/CO)(CCC[C@@H](C)C(=O)CC=C(C)C)C |
| InChI |
1S/C20H34O4/c1-15(2)7-9-18(22)16(3)6-5-12-20(4)19(23)10-8-17(11-13-21)14-24-20/h7,11,16,19,21,23H,5-6,8-10,12-14H2,1-4H3/b17-11+/t16-,19-,20+/m1/s1 |
| InChIKey |
XRDHAXIOHKTIGF-JECBFZOVSA-N |
|