Online Database of Chemicals from Around the World

Edeine F
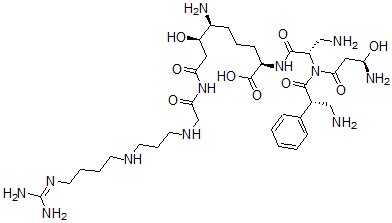
[CAS# 71750-64-6]

Suppliers
CAS#: 71750-64-6
Product: Edeine F
No suppilers available for the product.
Identification
Name Edeine F
Synonyms (2R,6S,7R)-6-Amino-2-[[(2S)-3-Amino-2-[[(3R)-3-Amino-3-Hydroxy-Propanoyl]-[(2S)-3-Amino-2-Phenyl-Propanoyl]Amino]Propanoyl]Amino]-9-[[2-[3-(4-Guanidinobutylamino)Propylamino]Acetyl]Amino]-7-Hydroxy-9-Oxo-Nonanoic Acid; (2R,6S,7R)-6-Amino-2-[[(2S)-3-Amino-2-[[(3R)-3-Amino-3-Hydroxy-1-Oxopropyl]-[(2S)-3-Amino-1-Oxo-2-Phenylpropyl]Amino]-1-Oxopropyl]Amino]-9-[[2-[3-(4-Guanidinobutylamino)Propylamino]-1-Oxoethyl]Amino]-7-Hydroxy-9-Oxononanoic Acid; (2R,6S,7R)-6-Amino-2-[[(2S)-3-Amino-2-[[(3R)-3-Amino-3-Hydroxy-Propanoyl]-[(2S)-3-Amino-2-Phenyl-Propanoyl]Amino]Propanoyl]Amino]-9-[[2-[3-(4-Guanidinobutylamino)Propylamino]Acetyl]Amino]-7-Hydroxy-9-Keto-Pelargonic Acid
Molecular Structure CAS#: 71750-64-6, Edeine F
Molecular Formula C34H60N12O9
Molecular Weight 780.92
CAS Registry Number 71750-64-6
SMILES [C@H](N)(CCC[C@@H](NC(=O)[C@@H](N(C(=O)[C@H](CN)C1=CC=CC=C1)C(=O)C[C@@H](O)N)CN)C(O)=O)[C@H](O)CC(=O)NC(=O)CNCCCNCCCCN=C(N)N
InChI 1S/C34H60N12O9/c35-18-22(21-8-2-1-3-9-21)32(53)46(30(51)17-27(38)48)25(19-36)31(52)44-24(33(54)55)11-6-10-23(37)26(47)16-28(49)45-29(50)20-42-14-7-13-41-12-4-5-15-43-34(39)40/h1-3,8-9,22-27,41-42,47-48H,4-7,10-20,35-38H2,(H,44,52)(H,54,55)(H4,39,40,43)(H,45,49,50)/t22-,23+,24-,25+,26-,27-/m1/s1
InChIKey WMAKHNPKGVNAJY-DDURVGIBSA-N
Properties
Density 1.446g/cm3 (Cal.)
Market Analysis Reports
List of Reports Available for Edeine F
Related Products
Polyethylene Monoalcohol  2-[4,5-Dihydro-3-Methyl-4-[[4-[[4-[[2-Me...  4-Chloro-N-[2-(Dodecyloxy)Phenyl]-1-Hydr...  N-Nitroso-Undecylurea  N-(2-Hydroxypropyl)-N-Nitrosourea  N-(3-Hydroxypropyl)-N-Nitrosourea  2-Methyl-N-(2-Thiazolidinylidene)-Benzam...  4-Tolylisocyanide  2-(N-Methyl-N-(N-Propyl)Amino)-6,7-Dihyd...  Methane-D3-Thiol  2-Ethyl-6-Sec-Butylaniline  (5Z,7E)-9,10-Secostigmasta-5,7,10(19)-Tr...  1-Palmitoyl-2-(2-Azido-4-Nitro)Benzoyl-G...  Bis(2,3-Epoxypropyl)Cyclohexane-1,4-Dica...  Tris(Oxiranylmethyl) Benzene-1,3,5-Trica...