Online Database of Chemicals from Around the World

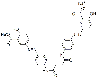
(3E)-3-[[4-[[(E)-4-[[4-[(2E)-2-(3-羧基-4-氧代-1-环己-2,5-二烯亚基)肼基]苯基]氨基]-4-氧代丁-2-烯酰基]氨基]苯基]亚肼基]-6-氧代环己-1,4-二烯-1-羧酸二钠
[CAS# 72139-21-0]

供应商
CAS#: 72139-21-0
产品: (3E)-3-[[4-[[(E)-4-[[4-[(2E)-2-(3-羧基-4-氧代-1-环己-2,5-二烯亚基)肼基]苯基]氨基]-4-氧代丁-2-烯酰基]氨基]苯基]亚肼基]-6-氧代环己-1,4-二烯-1-羧酸二钠
暂时没有厂家供应该产品。
基本信息
产品名称 (3E)-3-[[4-[[(E)-4-[[4-[(2E)-2-(3-羧基-4-氧代-1-环己-2,5-二烯亚基)肼基]苯基]氨基]-4-氧代丁-2-烯酰基]氨基]苯基]亚肼基]-6-氧代环己-1,4-二烯-1-羧酸二钠
英文名 Disodium (3E)-3-[[4-[[(E)-4-[[4-[(2E)-2-(3-Carboxylato-4-Oxo-1-Cyclohexa-2,5-Dienylidene)Hydrazinyl]Phenyl]Amino]-4-Oxobut-2-Enoyl]Amino]Phenyl]Hydrazinylidene]-6-Oxocyclohexa-1,4-Diene-1-Carboxylate
别名 Disodium (3E)-3-[[4-[[(E)-4-[[4-[(N'e)-N'-(3-Carboxylato-4-Oxo-1-Cyclohexa-2,5-Dienylidene)Hydrazino]Phenyl]Amino]-4-Oxo-But-2-Enoyl]Amino]Phenyl]Hydrazono]-6-Oxo-Cyclohexa-1,4-Diene-1-Carboxylate; Disodium (3E)-3-[[4-[[(E)-4-[[4-[(N'e)-N'-(3-Carboxylato-4-Oxo-1-Cyclohexa-2,5-Dienylidene)Hydrazino]Phenyl]Amino]-1,4-Dioxobut-2-Enyl]Amino]Phenyl]Hydrazono]-6-Oxo-1-Cyclohexa-1,4-Dienecarboxylate; Disodium (3E)-3-[[4-[[(E)-4-[[4-[(N'e)-N'-(3-Carboxylato-4-Keto-1-Cyclohexa-2,5-Dienylidene)Hydrazino]Phenyl]Amino]-4-Keto-But-2-Enoyl]Amino]Phenyl]Hydrazono]-6-Keto-Cyclohexa-1,4-Diene-1-Carboxylate
分子结构 CAS 登录号:72139-21-0, (3E)-3-[[4-[[(E)-4-[[4-[(2E)-2-(3-羧基-4-氧代-1-环己-2,5-二烯亚基)肼基]苯基]氨基]-4-氧代丁-2-烯酰基]氨基]苯基]亚肼基]-6-氧代环己-1,4-二烯-1-羧酸二钠
分子式 C30H20N6Na2O8
分子量 638.50
CAS 登录号 72139-21-0
EINECS 登录号 276-377-2
分子行输入简码 SMILES C3=C(NC(=O)\C=C\C(=O)NC2=CC=C(N\N=C1\C=C(C(=O)C=C1)C([O-])=O)C=C2)C=CC(=C3)N\N=C4\C=C(C(=O)C=C4)C([O-])=O.[Na+].[Na+]
国际化学标识码 InChI 1S/C30H22N6O8.2Na/c37-25-11-9-21(15-23(25)29(41)42)35-33-19-5-1-17(2-6-19)31-27(39)13-14-28(40)32-18-3-7-20(8-4-18)34-36-22-10-12-26(38)24(16-22)30(43)44;;/h1-16,33-34H,(H,31,39)(H,32,40)(H,41,42)(H,43,44);;/q;2*+1/p-2/b14-13+,35-21+,36-22+;;
国际化学标识检索码 InChIKey AJUCQNHYLIWPOM-BMIFVAPISA-L
市场分析报告
请浏览(3E)-3-[[4-[[(E)-4-[[4-[(2E)-2-(3-羧基-4-氧代-1-环己-2,5-二烯亚基)肼基]苯基]氨基]-4-氧代丁-2-烯酰基]氨基]苯基]亚肼基]-6-氧代环己-1,4-二烯-1-羧酸二钠市场分析报告总目录
相关产品
2-[4-[4-[(5-氯-2,6-二氟嘧啶-4-...  2-[[3-甲基-5-氧代-1-(4-磺酸苯基)-...  2-氨基-9H-芴-3-醇  二甲基氨基二硫代甲酸钠  哌嗪-1-基-[4-[[7-(三氟甲基)喹啉-4-...  (4-吡啶-2-基哌嗪-1-基)-[4-[[7-(...  [4-(4-氟苯基)磺酰基哌嗪-1-基]-[4-[...  顺式-2-叔丁基环己烷-1-醇  (2S,3S,4S,5R,6R)-3,4,5-三羟...  N-[(2R,3R,4R,5R)-3,4,5-三羟...  9-甲氧基呋喃并[3,2-g]苯并吡喃-7-硫酮  (2S)-2-氨基-3-[4-(二(2-羟基乙基)...  2-羟基乙基3-苯丙酸酯  [4-(氨基甲基)苯基]-[(E)-丁-2-烯-2...  3,5-二甲基环己烷-1-酮