Online Database of Chemicals from Around the World

甲氧羰基-辅酶A 二硫化物
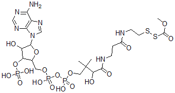
[CAS# 72205-57-3]

供应商
CAS#: 72205-57-3
产品: 甲氧羰基-辅酶A 二硫化物
暂时没有厂家供应该产品。
基本信息
产品名称 甲氧羰基-辅酶A 二硫化物
英文名 Methoxycarbonyl-Coenzyme A Disulfide
别名 Methyl 2-[3-[[4-[[[5-(6-Aminopurin-9-Yl)-4-Hydroxy-3-Phosphonooxy-Tetrahydrofuran-2-Yl]Methoxy-Hydroxy-Phosphoryl]Oxy-Hydroxy-Phosphoryl]Oxy-2-Hydroxy-3,3-Dimethyl-Butanoyl]Amino]Propanoylamino]Ethyldisulfanylformate; 2-[[3-[[4-[[[5-(6-Amino-9-Purinyl)-4-Hydroxy-3-Phosphonooxy-2-Tetrahydrofuranyl]Methoxy-Hydroxyphosphoryl]Oxy-Hydroxyphosphoryl]Oxy-2-Hydroxy-3,3-Dimethyl-1-Oxobutyl]Amino]-1-Oxopropyl]Amino]Ethyldisulfanylformic Acid Methyl Ester; 2-[3-[[4-[[[5-(6-Aminopurin-9-Yl)-4-Hydroxy-3-Phosphonooxy-Tetrahydrofuran-2-Yl]Methoxy-Hydroxy-Phosphoryl]Oxy-Hydroxy-Phosphoryl]Oxy-2-Hydroxy-3,3-Dimethyl-Butanoyl]Amino]Propanoylamino]Ethyldisulfanylformic Acid Methyl Ester
分子结构 CAS 登录号:72205-57-3, 甲氧羰基-辅酶A 二硫化物
分子式 C23H38N7O18P3S2
分子量 857.63
CAS 登录号 72205-57-3
分子行输入简码 SMILES C1=NC2=C(C(=N1)N)N=C[N]2C3C(O)C(O[P](O)(O)=O)C(O3)CO[P](O[P](OCC(C)(C)C(C(NCCC(NCCSSC(OC)=O)=O)=O)O)(=O)O)(=O)O
国际化学标识码 InChI 1S/C23H38N7O18P3S2/c1-23(2,17(33)20(34)26-5-4-13(31)25-6-7-52-53-22(35)43-3)9-45-51(41,42)48-50(39,40)44-8-12-16(47-49(36,37)38)15(32)21(46-12)30-11-29-14-18(24)27-10-28-19(14)30/h10-12,15-17,21,32-33H,4-9H2,1-3H3,(H,25,31)(H,26,34)(H,39,40)(H,41,42)(H2,24,27,28)(H2,36,37,38)
国际化学标识检索码 InChIKey MGXAHWZPOYQYBM-UHFFFAOYSA-N
物理化学性质
密度 1.922g/cm3 (计算值)
市场分析报告
请浏览甲氧羰基-辅酶A 二硫化物市场分析报告总目录
相关产品
氟替阿嗪  氰基-胍与N-(2-氨基乙基)-1,2-乙二胺和(...  磷酸C12-15-烷基酯与聚乙二醇单[2-(二丁基...  12-异丙基-1,5,9-三甲基-4,8,13-环...  磷酸C12-15-烷基酯与聚乙二醇单[2-(二乙基...  N,N-二乙基-4-[[3-甲基-4-[(3-甲基...  3-[[4-[[4-[乙基[(4-磺酸基苯基)甲基...  3-[(4-氨基-3-溴-9,10-二氢-9,10...  [4-[[3-氯-4-[(2-氰基乙基)氨基]苯基...  7-氨基-4-羟基-3-[[2-甲氧基-4-[(3...  [2S-(2alpha,5alpha,6)]-2-...  二(2-甲氧基乙氧基)-辛烷-2-基氧基-巯基-膦...  苯巴比妥-N-葡糖苷  1-(2,3,4,6-四乙酰基-beta-D-吡喃...  (2S,3S,4R,5R)-N-环丙基-3,4-二...