Online Database of Chemicals from Around the World

4-氨基-N-[5-氨基-2-[4-氨基-3,5-二羟基-6-(羟基甲基)四氢吡喃-2-基]氧基-4-[6-(氨基甲基)-3-羟基四氢吡喃-2-基]氧基-3-羟基环己基]-2-羟基丁烷酰胺
[CAS# 72908-95-3]

供应商
CAS#: 72908-95-3
产品: 4-氨基-N-[5-氨基-2-[4-氨基-3,5-二羟基-6-(羟基甲基)四氢吡喃-2-基]氧基-4-[6-(氨基甲基)-3-羟基四氢吡喃-2-基]氧基-3-羟基环己基]-2-羟基丁烷酰胺
暂时没有厂家供应该产品。
基本信息
产品名称 4-氨基-N-[5-氨基-2-[4-氨基-3,5-二羟基-6-(羟基甲基)四氢吡喃-2-基]氧基-4-[6-(氨基甲基)-3-羟基四氢吡喃-2-基]氧基-3-羟基环己基]-2-羟基丁烷酰胺
英文名 4-Amino-N-[5-Amino-2-[4-Amino-3,5-Dihydroxy-6-(Hydroxymethyl)Oxan-2-Yl]Oxy-4-[6-(Aminomethyl)-3-Hydroxyoxan-2-Yl]Oxy-3-Hydroxycyclohexyl]-2-Hydroxybutanamide
别名 4-Amino-N-[5-Amino-2-[4-Amino-3,5-Dihydroxy-6-(Hydroxymethyl)Tetrahydropyran-2-Yl]Oxy-4-[6-(Aminomethyl)-3-Hydroxy-Tetrahydropyran-2-Yl]Oxy-3-Hydroxy-Cyclohexyl]-2-Hydroxy-Butanamide; 4-Amino-N-[5-Amino-2-[[4-Amino-3,5-Dihydroxy-6-(Hydroxymethyl)-2-Tetrahydropyranyl]Oxy]-4-[[6-(Aminomethyl)-3-Hydroxy-2-Tetrahydropyranyl]Oxy]-3-Hydroxycyclohexyl]-2-Hydroxybutanamide; 4-Amino-N-[5-Amino-2-(4-Amino-3,5-Dihydroxy-6-Methylol-Tetrahydropyran-2-Yl)Oxy-4-[6-(Aminomethyl)-3-Hydroxy-Tetrahydropyran-2-Yl]Oxy-3-Hydroxy-Cyclohexyl]-2-Hydroxy-Butyramide
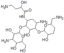
分子结构 CAS 登录号:72908-95-3, 4-氨基-N-[5-氨基-2-[4-氨基-3,5-二羟基-6-(羟基甲基)四氢吡喃-2-基]氧基-4-[6-(氨基甲基)-3-羟基四氢吡喃-2-基]氧基-3-羟基环己基]-2-羟基丁烷酰胺
分子式 C22H43N5O11
分子量 553.61
CAS 登录号 72908-95-3
分子行输入简码 SMILES C(C3C(C(C(C(OC1C(CC(C(C1O)OC2OC(CCC2O)CN)N)NC(C(CCN)O)=O)O3)O)N)O)O
国际化学标识码 InChI 1S/C22H43N5O11/c23-4-3-11(29)20(34)27-10-5-9(25)18(37-21-12(30)2-1-8(6-24)35-21)17(33)19(10)38-22-16(32)14(26)15(31)13(7-28)36-22/h8-19,21-22,28-33H,1-7,23-26H2,(H,27,34)
国际化学标识检索码 InChIKey DJLZCFKPWYTEIQ-UHFFFAOYSA-N
物理化学性质
密度 1.503g/cm3 (计算值)
沸点 923.79°C at 760 mmHg (计算值)
闪点 512.49°C (计算值)
市场分析报告
请浏览4-氨基-N-[5-氨基-2-[4-氨基-3,5-二羟基-6-(羟基甲基)四氢吡喃-2-基]氧基-4-[6-(氨基甲基)-3-羟基四氢吡喃-2-基]氧基-3-羟基环己基]-2-羟基丁烷酰胺市场分析报告总目录
相关产品
4-甲氧基-N,N-二甲基苯甲酰胺  N,N-二甲基-4-硝基苯甲酰胺  1-[2-溴-1-[(2-甲基丙烷-2-基)氧基]...  1,1,1-三氟-4-羟基-3-戊烯-2-酮  1-环己基-3-[[(1R,2S)-1-羟基-1-...  雌甾-1,3,5(10),6-四烯-3,17-二醇  6-氯-4-羟基色满-2-羧酸乙酯  N-[5-氨基-1-[(2-氨基-2-氧代乙基)氨...  N-[5-氨基-1-[(2-氨基-2-氧代乙基)氨...  1,2,3,7,8,9-六氯二苯并呋喃  2,3-二氯-1,4-二(甲基氨基)蒽-9,10-...  4,8-二氨基-2,3,6,7-四溴萘-1,5-二...  4,8-二氨基-2,3,6-三溴萘-1,5-二酮  ((1,1'-联苯)-4-基甲氧基)-胍  [(4,6-二甲基-间亚苯基)二亚甲基]二氨基甲酸...