Online Database of Chemicals from Around the World

2-溴乙酰基辅酶A
[CAS# 7303-38-0]

供应商
CAS#: 7303-38-0
产品: 2-溴乙酰基辅酶A
暂时没有厂家供应该产品。
基本信息
产品名称 2-溴乙酰基辅酶A
英文名 2-Bromoacetyl Coenzyme A
别名 S-[2-[3-[[(2R)-4-[[[(2R,3S,4R,5R)-5-(6-Aminopurin-9-Yl)-4-Hydroxy-3-Phosphonooxy-Tetrahydrofuran-2-Yl]Methoxy-Hydroxy-Phosphoryl]Oxy-Hydroxy-Phosphoryl]Oxy-2-Hydroxy-3,3-Dimethyl-Butanoyl]Amino]Propanoylamino]Ethyl] 2-Bromoethanethioate; 2-Bromoethanethioic Acid S-[2-[[3-[[(2R)-4-[[[(2R,3S,4R,5R)-5-(6-Amino-9-Purinyl)-4-Hydroxy-3-Phosphonooxy-2-Tetrahydrofuranyl]Methoxy-Hydroxyphosphoryl]Oxy-Hydroxyphosphoryl]Oxy-2-Hydroxy-3,3-Dimethyl-1-Oxobutyl]Amino]-1-Oxopropyl]Amino]Ethyl] Ester; 2-Bromoethanethioic Acid S-[2-[3-[[(2R)-4-[[[(2R,3S,4R,5R)-5-(6-Aminopurin-9-Yl)-4-Hydroxy-3-Phosphonooxy-Tetrahydrofuran-2-Yl]Methoxy-Hydroxy-Phosphoryl]Oxy-Hydroxy-Phosphoryl]Oxy-2-Hydroxy-3,3-Dimethyl-Butanoyl]Amino]Propanoylamino]Ethyl] Ester
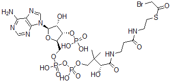
分子结构 CAS 登录号:7303-38-0, 2-溴乙酰基辅酶A
分子式 C23H37BrN7O17P3S
分子量 888.47
CAS 登录号 7303-38-0
分子行输入简码 SMILES [C@H]1(O[C@@H]([C@@H](O[P](=O)(O)O)[C@H]1O)CO[P](O[P](OCC([C@@H](O)C(=O)NCCC(=O)NCCSC(=O)CBr)(C)C)(=O)O)(=O)O)[N]2C3=C(N=C2)C(=NC=N3)N
国际化学标识码 InChI 1S/C23H37BrN7O17P3S/c1-23(2,18(35)21(36)27-4-3-13(32)26-5-6-52-14(33)7-24)9-45-51(42,43)48-50(40,41)44-8-12-17(47-49(37,38)39)16(34)22(46-12)31-11-30-15-19(25)28-10-29-20(15)31/h10-12,16-18,22,34-35H,3-9H2,1-2H3,(H,26,32)(H,27,36)(H,40,41)(H,42,43)(H2,25,28,29)(H2,37,38,39)/t12-,16-,17-,18+,22-/m1/s1
国际化学标识检索码 InChIKey RNBXHSPQPNFOKA-GRFIIANRSA-N
物理化学性质
密度 2.025g/cm3 (计算值)
市场分析报告
请浏览2-溴乙酰基辅酶A市场分析报告总目录
相关产品
N,N'-乙烯二(N-丁基-1-哌啶甲酰胺)  甲基色氨酸  (2R,3R)-2,3-二羟基丁二酸;1-甲基-4...  (2S,3R)-2-[(14S)-14-羟基十五烷...  1-[2,3-二甲基-4-(2,4,5-三甲氧基苯...  3-甲基-5-(3-甲基-5-磺酸苯氧基)苯磺酸二...  八氢-4,7-甲桥-1H-茚甲腈  [[5-(6-氨基嘌呤-9-基)-3,4-二羟基四...  咪多林  2-(11-甲基十二碳氧基)乙醇磷酸盐  (4S,5S)-4-[[(2S)-5-甲氧基-2,...  4-(2,2-二氯乙烯基)-1,3-噻唑-2-胺  3'-脱氧腺苷5'-三磷酸酯  N-[6-(吡啶-3-羰基氨基)己基]吡啶-3-甲...  氟三异丁基锡烷