基本信息
| 产品名称 |
4-(2,6-二氯-alpha-(4-亚氨基-3,5-二甲基-2,5-环己二烯-1-亚基)苄基)-2,6-二甲苯胺磷酸二氢酯化合物与异丙醇 |
| 英文名 |
4-(2,6-dichloro-alpha-(4-imino-3,5-dimethyl-2,5-cyclohexadien-1-ylidene)benzyl)-2,6-Xylidine dihydrogen phosphate compd. with isopropanol |
| 别名 |
4-[(2,6-Dichlorophenyl)-(4-Imino-3,5-Dimethyl-1-Cyclohexa-2,5-Dienylidene)Methyl]-2,6-Dimethyl-Aniline; 4-[(2,6-Dichlorophenyl)-(4-Imino-3,5-Dimethyl-1-Cyclohexa-2,5-Dienylidene)Methyl]-2,6-Dimethyl-Aniline; Phosphoric Acid; Propan-2-Ol; [4-[(2,6-Dichlorophenyl)-(4-Imino-3,5-Dimethyl-1-Cyclohexa-2,5-Dienylidene)Methyl]-2,6-Dimethyl-Phenyl]Amine; [4-[(2,6-Dichlorophenyl)-(4-Imino-3,5-Dimethyl-1-Cyclohexa-2,5-Dienylidene)Methyl]-2,6-Dimethyl-Phenyl]Amine |
|
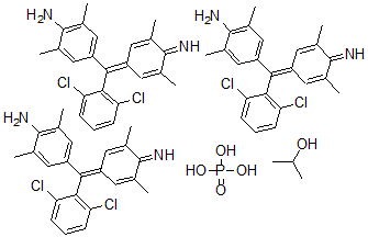
| 分子结构 |
 |
| 分子式 |
C72H77Cl6N6O5P |
| 分子量 |
1350.13 |
| CAS 登录号 |
73398-72-8 |
| 分子行输入简码 SMILES |
C3=C(C(C1=C(Cl)C=CC=C1Cl)=C2C=C(C(=N)C(=C2)C)C)C=C(C(=C3C)N)C.C6=C(C(C4=C(Cl)C=CC=C4Cl)=C5C=C(C(=N)C(=C5)C)C)C=C(C(=C6C)N)C.C9=C(C(C7=C(Cl)C=CC=C7Cl)=C8C=C(C(=N)C(=C8)C)C)C=C(C(=C9C)N)C.O=[P](O)(O)O.OC(C)C |
| 国际化学标识码 InChI |
1S/3C23H22Cl2N2.C3H8O.H3O4P/c3*1-12-8-16(9-13(2)22(12)26)20(21-18(24)6-5-7-19(21)25)17-10-14(3)23(27)15(4)11-17;1-3(2)4;1-5(2,3)4/h3*5-11,26H,27H2,1-4H3;3-4H,1-2H3;(H3,1,2,3,4) |
| 国际化学标识检索码 InChIKey |
RFTBTXUBQBDLGL-UHFFFAOYSA-N |
|