Online Database of Chemicals from Around the World

[(2R,3S,5R)-2-[[Hydroxy-(Hydroxy-Phosphonooxyphosphoryl)Oxyphosphoryl]Oxymethyl]-5-(5-Methyl-2,4-Dioxopyrimidin-1-Yl)Oxolan-3-Yl] Phosphono Hydrogen Phosphate
[CAS# 73909-63-4]

Suppliers
CAS#: 73909-63-4
Product: [(2R,3S,5R)-2-[[Hydroxy-(Hydroxy-Phosphonooxyphosphoryl)Oxyphosphoryl]Oxymethyl]-5-(5-Methyl-2,4-Dioxopyrimidin-1-Yl)Oxolan-3-Yl] Phosphono Hydrogen Phosphate
No suppilers available for the product.
Identification
Name [(2R,3S,5R)-2-[[Hydroxy-(Hydroxy-Phosphonooxyphosphoryl)Oxyphosphoryl]Oxymethyl]-5-(5-Methyl-2,4-Dioxopyrimidin-1-Yl)Oxolan-3-Yl] Phosphono Hydrogen Phosphate
Synonyms [(2R,3S,5R)-2-[[Hydroxy-(Hydroxy-Phosphonooxy-Phosphoryl)Oxy-Phosphoryl]Oxymethyl]-5-(5-Methyl-2,4-Dioxo-Pyrimidin-1-Yl)Tetrahydrofuran-3-Yl] Phosphono Hydrogen Phosphate; [(2R,3S,5R)-2-[[Hydroxy-(Hydroxy-Phosphonooxyphosphoryl)Oxyphosphoryl]Oxymethyl]-5-(5-Methyl-2,4-Dioxo-1-Pyrimidinyl)-3-Tetrahydrofuranyl] Phosphono Hydrogen Phosphate; [(2R,3S,5R)-5-(2,4-Diketo-5-Methyl-Pyrimidin-1-Yl)-2-[[Hydroxy-(Hydroxy-Phosphonooxy-Phosphoryl)Oxy-Phosphoryl]Oxymethyl]Tetrahydrofuran-3-Yl] Phosphono Hydrogen Phosphate
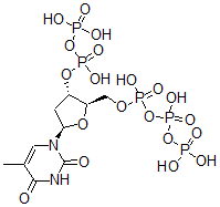
Molecular Structure CAS#: 73909-63-4, [(2R,3S,5R)-2-[[Hydroxy-(Hydroxy-Phosphonooxyphosphoryl)Oxyphosphoryl]Oxymethyl]-5-(5-Methyl-2,4-Dioxopyrimidin-1-Yl)Oxolan-3-Yl] Phosphono Hydrogen Phosphate
Molecular Formula C10H19N2O20P5
Molecular Weight 642.13
CAS Registry Number 73909-63-4
SMILES [C@@H]2(O[P](O[P](=O)(O)O)(=O)O)[C@H](O[C@@H](N1C(=O)NC(=O)C(=C1)C)C2)CO[P](O[P](O[P](=O)(O)O)(=O)O)(=O)O
InChI 1S/C10H19N2O20P5/c1-5-3-12(10(14)11-9(5)13)8-2-6(29-36(23,24)30-33(15,16)17)7(28-8)4-27-35(21,22)32-37(25,26)31-34(18,19)20/h3,6-8H,2,4H2,1H3,(H,21,22)(H,23,24)(H,25,26)(H,11,13,14)(H2,15,16,17)(H2,18,19,20)/t6-,7+,8+/m0/s1
InChIKey USELZJUBXJZGGJ-XLPZGREQSA-N
Properties
Density 2.103g/cm3 (Cal.)
Market Analysis Reports
List of Reports Available for [(2R,3S,5R)-2-[[Hydroxy-(Hydroxy-Phosphonooxyphosphoryl)Oxyphosphoryl]Oxymethyl]-5-(5-Methyl-2,4-Dioxopyrimidin-1-Yl)Oxolan-3-Yl] Phosphono Hydrogen Phosphate
Related Products
N-[1-[(4-Anilinophenyl)Amino]-5-(Diamino...  3-[6,7-Dimethoxy-2-Methyl-1-[(3,4,5-Trim...  4-[2,6-Bis(4-Chlorophenyl)Pyridin-4-Yl]-...  4,8-Dicyclohexyl-6-Hydroxy-2,10-Dimethyl...  2-Amino-5-Oxo-5-Propoxy-Pentanoic Acid  2-Amino-5-Butoxy-5-Oxo-Pentanoic Acid  Antimonous sulfide  N-[2-(Hydroxyamino)-2-Oxoethyl]-2,2-Dime...  N-[2-(Hydroxyamino)-2-Oxoethyl]-3-Methyl...  2-Methyl-3-Oxo-3-Phenyl-Propanenitrile  5,6-Epoxyretinal  Ethyl 2-Cyanohexanoate  2-(1-Oxopropyl)Cyclopentan-1-One  5-Ethyl-1,3-Dimethylbarbituric Acid  5-Sec-Butyl-1,3-Dimethyl-2,4,6(1H,3H,5H)...