Online Database of Chemicals from Around the World

N-[(6E)-3-(2-Amino-3,4,5,6-Tetrahydropyrimidin-4-Yl)-6-[(Carbamoylamino)Methylidene]-9,12-Bis(Hydroxymethyl)-2,5,8,11,14-Pentaoxo-1,4,7,10,13-Pentazacyclohexadec-15-Yl]Hexadecanamide
[CAS# 74240-44-1]

Suppliers
CAS#: 74240-44-1
Product: N-[(6E)-3-(2-Amino-3,4,5,6-Tetrahydropyrimidin-4-Yl)-6-[(Carbamoylamino)Methylidene]-9,12-Bis(Hydroxymethyl)-2,5,8,11,14-Pentaoxo-1,4,7,10,13-Pentazacyclohexadec-15-Yl]Hexadecanamide
No suppilers available for the product.
Identification
Name N-[(6E)-3-(2-Amino-3,4,5,6-Tetrahydropyrimidin-4-Yl)-6-[(Carbamoylamino)Methylidene]-9,12-Bis(Hydroxymethyl)-2,5,8,11,14-Pentaoxo-1,4,7,10,13-Pentazacyclohexadec-15-Yl]Hexadecanamide
Synonyms N-[(6E)-6-[(Aminocarbonylamino)Methylidene]-3-(2-Amino-3,4,5,6-Tetrahydropyrimidin-4-Yl)-9,12-Bis(Hydroxymethyl)-2,5,8,11,14-Pentaoxo-1,4,7,10,13-Pentazacyclohexadec-15-Yl]Hexadecanamide; N-[(6E)-3-(2-Amino-3,4,5,6-Tetrahydropyrimidin-4-Yl)-9,12-Bis(Hydroxymethyl)-2,5,8,11,14-Pentaoxo-6-(Ureidomethylene)-1,4,7,10,13-Pentazacyclohexadec-15-Yl]Hexadecanamide; N-[(6E)-3-(2-Amino-3,4,5,6-Tetrahydropyrimidin-4-Yl)-2,5,8,11,14-Pentaketo-9,12-Dimethylol-6-(Ureidomethylene)-1,4,7,10,13-Pentazacyclohexadec-15-Yl]Palmitamide
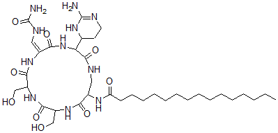
Molecular Structure CAS#: 74240-44-1, N-[(6E)-3-(2-Amino-3,4,5,6-Tetrahydropyrimidin-4-Yl)-6-[(Carbamoylamino)Methylidene]-9,12-Bis(Hydroxymethyl)-2,5,8,11,14-Pentaoxo-1,4,7,10,13-Pentazacyclohexadec-15-Yl]Hexadecanamide
Molecular Formula C35H61N11O9
Molecular Weight 779.94
CAS Registry Number 74240-44-1
SMILES C(C1C(NC(C(NC(/C(NC(C(NCC(C(N1)=O)NC(=O)CCCCCCCCCCCCCCC)=O)C2NC(=NCC2)N)=O)=C/NC(N)=O)=O)CO)=O)O
InChI 1S/C35H61N11O9/c1-2-3-4-5-6-7-8-9-10-11-12-13-14-15-27(49)41-23-18-39-33(54)28(22-16-17-38-34(36)45-22)46-30(51)24(19-40-35(37)55)42-31(52)25(20-47)44-32(53)26(21-48)43-29(23)50/h19,22-23,25-26,28,47-48H,2-18,20-21H2,1H3,(H,39,54)(H,41,49)(H,42,52)(H,43,50)(H,44,53)(H,46,51)(H3,36,38,45)(H3,37,40,55)/b24-19+
InChIKey BOUNXJOSVRWQIH-LYBHJNIJSA-N
Properties
Density 1.424g/cm3 (Cal.)
Market Analysis Reports
List of Reports Available for N-[(6E)-3-(2-Amino-3,4,5,6-Tetrahydropyrimidin-4-Yl)-6-[(Carbamoylamino)Methylidene]-9,12-Bis(Hydroxymethyl)-2,5,8,11,14-Pentaoxo-1,4,7,10,13-Pentazacyclohexadec-15-Yl]Hexadecanamide
Related Products
(2S)-2,3-Dihydroxy-N-[(2R,3S,4S,5R)-2,4,...  (2S,3S,4S,5R,6R)-6-(5-Fluoro-2,4-Dioxopy...  2-Acetyl-N-[(1-Ethylpyrrolidin-2-Yl)Meth...  Methyl 2-[4-(4-Chlorophenyl)-2-(Phenylme...  Methyl 2-[4-(4-Chlorophenyl)-2-[(4-Hydro...  Methyl 2-[4-(4-Chlorophenyl)-2-[(2-Hydro...  Methyl 2-[4-(4-Chlorophenyl)-2-[(4-Metho...  Methyl 2-[4-(4-Chlorophenyl)-2-[(4-Dimet...  (1R-(1alpha,7(2S*,3R*),7abeta))-2,3-Dihy...  (9Z)-Cycloheptadec-9-En-1-One  (2S)-2-Amino-N-[(2S,3S)-2-Amino-3-Methyl...  2-(Pyridin-3-Ylmethylidene)Propanedinitr...  (NE)-N-(1-Acenaphthen-3-Ylpropylidene)Hy...  1'-(3-Ethylaminopropyl)Spiro[2,3-Dihydro...  1-(2-Dimethylaminoethyl)-3-Phenylpyrroli...