Identification
| Name |
Holothurin A2 |
| Synonyms |
Lanost-9(11)-En-18-Oic Acid, 12,17,20-Trihydroxy-3-((O-3-O-Methyl-Beta-D-Glucopyranosyl-(1-3)-O-Beta-D-Glucopyranosyl-(1-4)-O-6-Deoxy-Beta-D-Glucopyranosyl-(1-2)-4-O-Sulfo-Beta-D-Xylopyranosyl)Oxy)-, Gamma-Lactone, Monosodium Salt, (3Beta,12Alpha)-; (3Beta,12Alpha)-12,17,20-Trihydroxy-3-((O-3-O-Methyl-Beta-D-Glucopyranosyl-(1-3)-O-Beta-D-Glucopyranosyl-(1-4)-O-6-Deoxy-Beta-D-Glucopyranosyl-(1-2)-4-O-Sulfo-Beta-D-Xylopyranosyl)-Oxy)Lanost-9(11)-En-18-Oic Acid Gamma-Lactone, Monosodium Salt; Echinoside A |
|
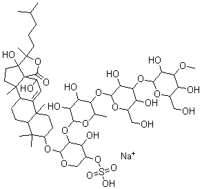
| Molecular Structure |
 |
| Molecular Formula |
C54H88NaO26S |
| Molecular Weight |
1208.32 |
| CAS Registry Number |
75410-53-6 |
| SMILES |
C(C1(OC(=O)C23C1(O)CCC2(C4C(=CC3O)C9(C(CC4)C(C(OC5OCC(O[S](=O)(=O)O)C(O)C5OC8OC(C(OC7OC(C(O)C(OC6OC(C(O)C(OC)C6O)CO)C7O)CO)C(O)C8O)C)CC9)(C)C)C)C)C)CCC(C)C.[Na+] |
| InChI |
1S/C54H88O26S.Na/c1-23(2)11-10-15-52(8)53(66)18-17-51(7)25-12-13-30-49(4,5)32(14-16-50(30,6)26(25)19-31(57)54(51,53)48(65)79-52)75-47-43(35(60)29(22-71-47)80-81(67,68)69)78-44-37(62)36(61)40(24(3)72-44)76-46-39(64)42(34(59)28(21-56)74-46)77-45-38(63)41(70-9)33(58)27(20-55)73-45;/h19,23-25,27-47,55-64,66H,10-18,20-22H2,1-9H3,(H,67,68,69);/q;+1 |
| InChIKey |
JEBRMYZXRSTSKU-UHFFFAOYSA-N |
|