Online Database of Chemicals from Around the World

21-Amino-6,9,18-Tris(2-Aminoethyl)-3-(1-Hydroxyethyl)-12,15-Bis(2-Methylpropyl)-1,4,7,10,13,16,19-Heptazacyclotricosane-2,5,8,11,14,17,20-Heptone
[CAS# 75748-25-3]

Suppliers
CAS#: 75748-25-3
Product: 21-Amino-6,9,18-Tris(2-Aminoethyl)-3-(1-Hydroxyethyl)-12,15-Bis(2-Methylpropyl)-1,4,7,10,13,16,19-Heptazacyclotricosane-2,5,8,11,14,17,20-Heptone
No suppilers available for the product.
Identification
Name 21-Amino-6,9,18-Tris(2-Aminoethyl)-3-(1-Hydroxyethyl)-12,15-Bis(2-Methylpropyl)-1,4,7,10,13,16,19-Heptazacyclotricosane-2,5,8,11,14,17,20-Heptone
Synonyms 21-Amino-6,9,18-Tris(2-Aminoethyl)-3-(1-Hydroxyethyl)-12,15-Diisobutyl-1,4,7,10,13,16,19-Heptazacyclotricosane-2,5,8,11,14,17,20-Heptone; Colistin Heptapeptide; Polymyxin E1, 1-De(N2-(6-Methyl-1-Oxooctyl)-L-2,4-Diaminobutanoic Acid)-2-De-L-Threonine-3-De(L-2,4-Diaminobutanoic Acid)-, (1S-(1Alpha(R*),3Alpha,7Beta,8Beta(2S*,4S*),8Abeta))-
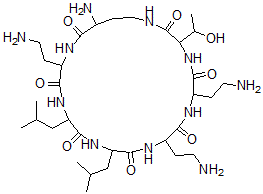
Molecular Structure CAS#: 75748-25-3, 21-Amino-6,9,18-Tris(2-Aminoethyl)-3-(1-Hydroxyethyl)-12,15-Bis(2-Methylpropyl)-1,4,7,10,13,16,19-Heptazacyclotricosane-2,5,8,11,14,17,20-Heptone
Molecular Formula C32H61N11O8
Molecular Weight 727.90
CAS Registry Number 75748-25-3
SMILES C(C1NC(=O)C(NC(=O)C(NC(=O)C(N)CCNC(=O)C(NC(=O)C(NC(=O)C(NC1=O)CCN)CCN)C(O)C)CCN)CC(C)C)C(C)C
InChI 1S/C32H61N11O8/c1-16(2)14-23-30(49)40-21(7-11-34)27(46)39-22(8-12-35)29(48)43-25(18(5)44)32(51)37-13-9-19(36)26(45)38-20(6-10-33)28(47)41-24(15-17(3)4)31(50)42-23/h16-25,44H,6-15,33-36H2,1-5H3,(H,37,51)(H,38,45)(H,39,46)(H,40,49)(H,41,47)(H,42,50)(H,43,48)
InChIKey HCSATRDQWBMHRF-UHFFFAOYSA-N
Properties
Density 1.099g/cm3 (Cal.)
Boiling point 1186.805°C at 760 mmHg (Cal.)
Flash point 671.555°C (Cal.)
Market Analysis Reports
List of Reports Available for 21-Amino-6,9,18-Tris(2-Aminoethyl)-3-(1-Hydroxyethyl)-12,15-Bis(2-Methylpropyl)-1,4,7,10,13,16,19-Heptazacyclotricosane-2,5,8,11,14,17,20-Heptone
Related Products
N,N'-Bis(2,3-Dihydroxypropyl)-2,4,6-Trii...  Trilithium Sodium (3Z)-5-Amino-3-[[4-[4-...  Sodium 4-[2-[5-[5-[6-[(4-Bromophenyl)Car...  2-Amino-6-[(2S)-2,3-Dihydroxypropanoyl]-...  2,3-Dimethyl-6-Quinoxalinamine  1-[4-(Acridin-9-Ylamino)Phenyl]-3-Phenyl...  4-(Acridin-9-Ylamino)Benzonitrile  2-(Acridin-9-Ylamino)Phenol  N-Acridin-9-Ylbenzene-1,2-Diamine  3-(2-Chloroethyl)-1-[(7S)-1,2,3-Trimetho...  4,4-Dimethoxypyrrolidine-2-Carboxylic Ac...  9-(6-Propyl-1-Cyclohex-3-Enyl)Nonanoic A...  2-(Difluoromethoxy)-2,2-Difluoroacetic A...  Lacto-N-Fucopentaose I  4,4-Diphenyl-6-Piperidin-1-Ium-1-Ylhepta...