Online Database of Chemicals from Around the World

Cinnamoyl-coenzyme A
[CAS# 76109-04-1]

Suppliers
CAS#: 76109-04-1
Product: Cinnamoyl-coenzyme A
No suppilers available for the product.
Identification
Name Cinnamoyl-coenzyme A
Synonyms S-[2-[3-[[(2R)-4-[[[(2R,3S,4R,5R)-5-(6-Aminopurin-9-Yl)-4-Hydroxy-3-Phosphonooxy-Tetrahydrofuran-2-Yl]Methoxy-Hydroxy-Phosphoryl]Oxy-Hydroxy-Phosphoryl]Oxy-2-Hydroxy-3,3-Dimethyl-Butanoyl]Amino]Propanoylamino]Ethyl] (E)-3-Phenylprop-2-Enethioate; (E)-3-Phenylprop-2-Enethioic Acid S-[2-[[3-[[(2R)-4-[[[(2R,3S,4R,5R)-5-(6-Amino-9-Purinyl)-4-Hydroxy-3-Phosphonooxy-2-Tetrahydrofuranyl]Methoxy-Hydroxyphosphoryl]Oxy-Hydroxyphosphoryl]Oxy-2-Hydroxy-3,3-Dimethyl-1-Oxobutyl]Amino]-1-Oxopropyl]Amino]Ethyl] Ester; (E)-3-Phenylprop-2-Enethioic Acid S-[2-[3-[[(2R)-4-[[[(2R,3S,4R,5R)-5-(6-Aminopurin-9-Yl)-4-Hydroxy-3-Phosphonooxy-Tetrahydrofuran-2-Yl]Methoxy-Hydroxy-Phosphoryl]Oxy-Hydroxy-Phosphoryl]Oxy-2-Hydroxy-3,3-Dimethyl-Butanoyl]Amino]Propanoylamino]Ethyl] Ester
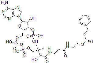
Molecular Structure CAS#: 76109-04-1, Cinnamoyl-coenzyme A
Molecular Formula C30H42N7O17P3S
Molecular Weight 897.68
CAS Registry Number 76109-04-1
SMILES [C@H]1(O[C@@H]([C@@H](O[P](=O)(O)O)[C@H]1O)CO[P](O[P](OCC([C@@H](O)C(=O)NCCC(=O)NCCSC(=O)/C=C/C2=CC=CC=C2)(C)C)(=O)O)(=O)O)[N]3C4=C(N=C3)C(=NC=N4)N
InChI 1S/C30H42N7O17P3S/c1-30(2,25(41)28(42)33-11-10-20(38)32-12-13-58-21(39)9-8-18-6-4-3-5-7-18)15-51-57(48,49)54-56(46,47)50-14-19-24(53-55(43,44)45)23(40)29(52-19)37-17-36-22-26(31)34-16-35-27(22)37/h3-9,16-17,19,23-25,29,40-41H,10-15H2,1-2H3,(H,32,38)(H,33,42)(H,46,47)(H,48,49)(H2,31,34,35)(H2,43,44,45)/b9-8+/t19-,23-,24-,25+,29-/m1/s1
InChIKey JVNVHNHITFVWIX-KZKUDURGSA-N
Properties
Density 1.761g/cm3 (Cal.)
References
(1) Laurence B. Davin, Michaël Jourdes, Ann M. Patten, Kye-Won Kim, Daniel G. Vassão and Norman G. Lewis. Dissection of lignin macromolecular configuration and assembly: Comparison to related biochemical processes in allyl/propenyl phenol and lignan biosynthesis, Nat. Prod. Rep., 2008, 25, 1015.
Market Analysis Reports
List of Reports Available for Cinnamoyl-coenzyme A
Related Products
[(1S,4R,6R)-1,5,5-Trimethyl-6-Bicyclo[2....  N,N,N',N',5-Pentamethyl-6-Phenylphenanth...  Copper 2-(4-Carboxylatoquinolin-2-Yl)Qui...  Luzopeptin C  N-[2-[(2-Amino-2-Oxoethyl)Amino]-2-Carbo...  Nitrilotris(Methylenephosphonic Acid) Tr...  cis-1-Chloro-1-Butene  1-Diethylamino-2-Chloropropane  4-Ethenylcyclohexan-1-Ol  3-[(2R,3S,4S,6R)-4,6-Dihydroxy-2-[(E)-3-...  Azomethylketoxime Benzothiazole  2-[(Pentylamino)Methyl]Phenol  (7S)-1,2,3-Trimethoxy-7-Methylamino-10-M...  N-[(7S)-1,2,3-Trimethoxy-9-Oxo-10-(Pheny...  4-Nitro-N-[(7S)-1,2,3,10-Tetramethoxy-9-...