Online Database of Chemicals from Around the World

(3R,5R)-7-[(1S,2S,6R,8S,8aR)-2,6-二甲基-8-[(2S)-2-甲基丁酰基]氧基-1,2,6,7,8,8a-六氢萘-1-基]-3,5-二羟基庚酸
[CAS# 77285-87-1]

供应商
CAS#: 77285-87-1
产品: (3R,5R)-7-[(1S,2S,6R,8S,8aR)-2,6-二甲基-8-[(2S)-2-甲基丁酰基]氧基-1,2,6,7,8,8a-六氢萘-1-基]-3,5-二羟基庚酸
暂时没有厂家供应该产品。
基本信息
产品名称 (3R,5R)-7-[(1S,2S,6R,8S,8aR)-2,6-二甲基-8-[(2S)-2-甲基丁酰基]氧基-1,2,6,7,8,8a-六氢萘-1-基]-3,5-二羟基庚酸
英文名 (3R,5R)-7-[(1S,2S,6R,8S,8aR)-2,6-Dimethyl-8-[(2S)-2-Methylbutanoyl]Oxy-1,2,6,7,8,8a-Hexahydronaphthalen-1-Yl]-3,5-Dihydroxyheptanoic Acid
别名 (3R,5R)-7-[(1S,2S,6R,8S,8Ar)-2,6-Dimethyl-8-[(2S)-2-Methylbutanoyl]Oxy-1,2,6,7,8,8A-Hexahydronaphthalen-1-Yl]-3,5-Dihydroxy-Heptanoic Acid; (3R,5R)-7-[(1S,2S,6R,8S,8Ar)-2,6-Dimethyl-8-[(2S)-2-Methyl-1-Oxobutoxy]-1,2,6,7,8,8A-Hexahydronaphthalen-1-Yl]-3,5-Dihydroxyheptanoic Acid; (3R,5R)-7-[(1S,2S,6R,8S,8Ar)-2,6-Dimethyl-8-[(2S)-2-Methylbutanoyl]Oxy-1,2,6,7,8,8A-Hexahydronaphthalen-1-Yl]-3,5-Dihydroxy-Enanthic Acid
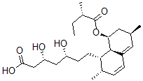
分子结构 CAS 登录号:77285-87-1, (3R,5R)-7-[(1S,2S,6R,8S,8aR)-2,6-二甲基-8-[(2S)-2-甲基丁酰基]氧基-1,2,6,7,8,8a-六氢萘-1-基]-3,5-二羟基庚酸
分子式 C24H38O6
分子量 422.56
CAS 登录号 77285-87-1
分子行输入简码 SMILES [C@@H]12C(=C[C@@H](C[C@@H]1OC(=O)[C@H](CC)C)C)C=C[C@H](C)[C@@H]2CC[C@H](C[C@H](CC(=O)O)O)O
国际化学标识码 InChI 1S/C24H38O6/c1-5-15(3)24(29)30-21-11-14(2)10-17-7-6-16(4)20(23(17)21)9-8-18(25)12-19(26)13-22(27)28/h6-7,10,14-16,18-21,23,25-26H,5,8-9,11-13H2,1-4H3,(H,27,28)/t14-,15-,16-,18+,19+,20-,21-,23-/m0/s1
国际化学标识检索码 InChIKey QLJODMDSTUBWDW-BXMDZJJMSA-N
物理化学性质
密度 1.148g/cm3 (计算值)
沸点 602.299°C at 760 mmHg (计算值)
闪点 199.101°C (计算值)
市场分析报告
请浏览(3R,5R)-7-[(1S,2S,6R,8S,8aR)-2,6-二甲基-8-[(2S)-2-甲基丁酰基]氧基-1,2,6,7,8,8a-六氢萘-1-基]-3,5-二羟基庚酸市场分析报告总目录
相关产品
(2R,3R,4R)-4-羟基-2-(7-羟基庚基...  2-(噻唑-4-基)乙胺  Iem 760  乙烯基吡咯烷酮-猪毛菜定甲基丙烯酸酯  1-[(E)-5-氯戊-2-烯-2-基]-4-氟苯  8-羟基-2-苯基苯并吡喃-4-酮  3-羟基孕甾烷-3-酮3-硫酸盐  2-乙基-3-[2-(丙-2-基氨基)乙基]喹唑啉...  2-乙基-6-碘-3-[2-(丙-2-基氨基)乙基...  1-乙基-1-[2-(2-甲基-4-氧代喹唑啉-3...  1-[2-(6-溴-2-乙基-4-氧代喹唑啉-3-...  1-[2-(6-溴-2-乙基-4-氧代喹唑啉-3-...  1-[2-(2-乙基-6-碘-4-氧代喹唑啉-3-...  3-(2-乙基氨基乙基)-6-碘-2-甲基喹唑啉-...  2,4,6-三甲基吡喃鎓四氟硼酸盐