Online Database of Chemicals from Around the World

抗生素 C 15003Pnd-2
[CAS# 77353-68-5]

供应商
CAS#: 77353-68-5
产品: 抗生素 C 15003Pnd-2
暂时没有厂家供应该产品。
基本信息
产品名称 抗生素 C 15003Pnd-2
英文名 Antibiotic C 15003Pnd-2
别名 Maytansine, 2'-De(Acetylmethylamino)-22-Demethyl-
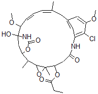
分子结构 CAS 登录号:77353-68-5, 抗生素 C 15003Pnd-2
分子式 C30H39ClN2O9
分子量 607.10
CAS 登录号 77353-68-5
分子行输入简码 SMILES C(C(OC4C1(OC1C(C2OC(=O)NC(O)(C2)C(OC)\C=C\C=C(CC3=CC(=C(Cl)C(=C3)OC)NC(=O)C4)/C)C)C)=O)C
国际化学标识码 InChI 1S/C30H39ClN2O9/c1-7-25(35)41-23-14-24(34)32-19-12-18(13-20(38-5)26(19)31)11-16(2)9-8-10-22(39-6)30(37)15-21(40-28(36)33-30)17(3)27-29(23,4)42-27/h8-10,12-13,17,21-23,27,37H,7,11,14-15H2,1-6H3,(H,32,34)(H,33,36)/b10-8+,16-9+
国际化学标识检索码 InChIKey IZWRFNLCEHGRDX-VYWHLGQJSA-N
市场分析报告
请浏览抗生素 C 15003Pnd-2市场分析报告总目录
相关产品
安丝菌素Pdm-3  抗生素 C 15003Pnd-4  13-羟基十三烷酸  三腺苷酰-(2'-3')-腺苷酰-胞苷酸  1,3-苯并氧硫杂环戊烷-2-酮  2-甲基-2-(对甲苯基)噻唑烷  2-[1-[(2R,4S,5R)-4-羟基-5-(...  N-[(2R,3R,4R,5R)-5,6-二羟基-...  4,6-二甲基-5-羟基-1,3-苯并氧硫杂环戊烷...  2-(对氯苯基)-2-甲基噻唑烷  2-[4-[(3-硝基吡啶-2-基)巯基氧基甲基]...  (2S,3R)-2-乙酰氨基-3-羟基-3-(1H...  五乙氧基膦烷  (6R,7R)-7-[[(2Z)-2-(2-氨基-...  (2S,3S,4S,5R,6S)-6-[5,7-二...