Online Database of Chemicals from Around the World

[2-[2-[2-[[6-Amino-2-[3-Amino-1-[(2,3-Diamino-3-Oxopropyl)Amino]-3-Oxopropyl]-5-Methylpyrimidine-4-Carbonyl]Amino]-3-[[5-[[1-[[1-(5-Amino-3,4-Dihydroxy-6-Methyloxan-2-Yl)Oxy-2-Hydroxy-2-[4-[4-[2-(2-Hydroxypropylamino)Ethylcarbamoyl]-1,3-Thiazol-2-Yl]-1,3-Thiazol-2-Yl]Ethyl]Amino]-3-Hydroxy-1-Oxobutan-2-Yl]Amino]-3-Hydroxy-5-Oxopentan-2-Yl]Amino]-1-(3H-Imidazol-4-Yl)-3-Oxopropoxy]-4,5-Dihydroxy-6-(Hydroxymethyl)Oxan-3-Yl]Oxy-3,5-Dihydroxy-6-(Hydroxymethyl)Oxan-4-Yl] Carbamate
[CAS# 77368-70-8]

Suppliers
CAS#: 77368-70-8
Product: [2-[2-[2-[[6-Amino-2-[3-Amino-1-[(2,3-Diamino-3-Oxopropyl)Amino]-3-Oxopropyl]-5-Methylpyrimidine-4-Carbonyl]Amino]-3-[[5-[[1-[[1-(5-Amino-3,4-Dihydroxy-6-Methyloxan-2-Yl)Oxy-2-Hydroxy-2-[4-[4-[2-(2-Hydroxypropylamino)Ethylcarbamoyl]-1,3-Thiazol-2-Yl]-1,3-Thiazol-2-Yl]Ethyl]Amino]-3-Hydroxy-1-Oxobutan-2-Yl]Amino]-3-Hydroxy-5-Oxopentan-2-Yl]Amino]-1-(3H-Imidazol-4-Yl)-3-Oxopropoxy]-4,5-Dihydroxy-6-(Hydroxymethyl)Oxan-3-Yl]Oxy-3,5-Dihydroxy-6-(Hydroxymethyl)Oxan-4-Yl] Carbamate
No suppilers available for the product.
Identification
Name [2-[2-[2-[[6-Amino-2-[3-Amino-1-[(2,3-Diamino-3-Oxopropyl)Amino]-3-Oxopropyl]-5-Methylpyrimidine-4-Carbonyl]Amino]-3-[[5-[[1-[[1-(5-Amino-3,4-Dihydroxy-6-Methyloxan-2-Yl)Oxy-2-Hydroxy-2-[4-[4-[2-(2-Hydroxypropylamino)Ethylcarbamoyl]-1,3-Thiazol-2-Yl]-1,3-Thiazol-2-Yl]Ethyl]Amino]-3-Hydroxy-1-Oxobutan-2-Yl]Amino]-3-Hydroxy-5-Oxopentan-2-Yl]Amino]-1-(3H-Imidazol-4-Yl)-3-Oxopropoxy]-4,5-Dihydroxy-6-(Hydroxymethyl)Oxan-3-Yl]Oxy-3,5-Dihydroxy-6-(Hydroxymethyl)Oxan-4-Yl] Carbamate
Synonyms [2-[2-[2-[[6-Amino-2-[3-Amino-1-[(2,3-Diamino-3-Oxo-Propyl)Amino]-3-Oxo-Propyl]-5-Methyl-Pyrimidine-4-Carbonyl]Amino]-3-[[4-[[1-[[1-(5-Amino-3,4-Dihydroxy-6-Methyl-Tetrahydropyran-2-Yl)Oxy-2-Hydroxy-2-[4-[4-[2-(2-Hydroxypropylamino)Ethylcarbamoyl]Thiazol-2-Yl]Thiazol-2-Yl]Ethyl]Carbamoyl]-2-Hydroxy-Propyl]Amino]-2-Hydroxy-1-Methyl-4-Oxo-Butyl]Amino]-1-(3H-Imidazol-4-Yl)-3-Oxo-Propoxy]-4,5-Dihydroxy-6-(Hydroxymethyl)Tetrahydropyran-3-Yl]Oxy-3,5-Dihydroxy-6-(Hydroxymethyl)Tetrahydropyran-4-Yl] Carbamate; Carbamic Acid [2-[2-[2-[[6-Amino-2-[3-Amino-1-[(2,3-Diamino-3-Keto-Propyl)Amino]-3-Keto-Propyl]-5-Methyl-Pyrimidine-4-Carbonyl]Amino]-3-[[4-[[1-[[1-(5-Amino-3,4-Dihydroxy-6-Methyl-Tetrahydropyran-2-Yl)Oxy-2-Hydroxy-2-[4-[4-[2-(2-Hydroxypropylamino)Ethylcarbamoyl]Thiazol-2-Yl]Thiazol-2-Yl]Ethyl]Carbamoyl]-2-Hydroxy-Propyl]Amino]-2-Hydroxy-4-Keto-1-Methyl-Butyl]Amino]-1-(3H-Imidazol-4-Yl)-3-Keto-Propoxy]-4,5-Dihydroxy-6-Methylol-Tetrahydropyran-3-Yl]Oxy-3,5-Dihydroxy-6-Methylol-Tetrahydropyran-4-Yl] Ester; [2-[2-[2-[[6-Amino-2-[3-Amino-1-[(2,3-Diamino-3-Oxo-Propyl)Amino]-3-Oxo-Propyl]-5-Methyl-Pyrimidin-4-Yl]Carbonylamino]-3-[[5-[[1-[[1-(5-Amino-3,4-Dihydroxy-6-Methyl-Oxan-2-Yl)Oxy-2-Hydroxy-2-[4-[4-[2-(2-Hydroxypropylamino)Ethylcarbamoyl]-1,3-Thiazol-2-Yl]-1,3-Thiazol-2-Yl]Ethyl]Amino]-3-Hydroxy-1-Oxo-Butan-2-Yl]Amino]-3-Hydroxy-5-Oxo-Pentan-2-Yl]Amino]-1-(3H-Imidazol-4-Yl)-3-Oxo-Propoxy]-4,5-Dihydroxy-6-(Hydroxymethyl)Oxan-3-Yl]Oxy-3,5-Dihydroxy-6-(Hydroxymethyl)Oxan-4-Yl] Carbamate
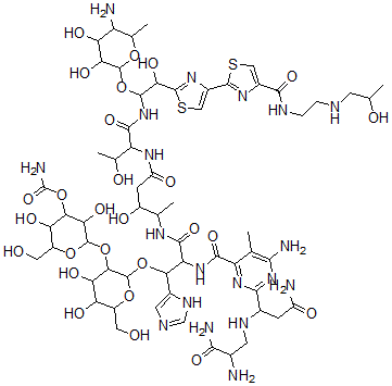
Molecular Structure CAS#: 77368-70-8, [2-[2-[2-[[6-Amino-2-[3-Amino-1-[(2,3-Diamino-3-Oxopropyl)Amino]-3-Oxopropyl]-5-Methylpyrimidine-4-Carbonyl]Amino]-3-[[5-[[1-[[1-(5-Amino-3,4-Dihydroxy-6-Methyloxan-2-Yl)Oxy-2-Hydroxy-2-[4-[4-[2-(2-Hydroxypropylamino)Ethylcarbamoyl]-1,3-Thiazol-2-Yl]-1,3-Thiazol-2-Yl]Ethyl]Amino]-3-Hydroxy-1-Oxobutan-2-Yl]Amino]-3-Hydroxy-5-Oxopentan-2-Yl]Amino]-1-(3H-Imidazol-4-Yl)-3-Oxopropoxy]-4,5-Dihydroxy-6-(Hydroxymethyl)Oxan-3-Yl]Oxy-3,5-Dihydroxy-6-(Hydroxymethyl)Oxan-4-Yl] Carbamate
Molecular Formula C60H93N19O27S2
Molecular Weight 1576.63
CAS Registry Number 77368-70-8
SMILES C1=C(N=C(S1)C(C(NC(C(C(C)O)NC(CC(C(NC(C(C(C2=CN=C[NH]2)OC3C(C(C(C(O3)CO)O)O)OC4OC(C(C(C4O)OC(N)=O)O)CO)NC(C5=NC(=NC(=C5C)N)C(NCC(C(N)=O)N)CC(N)=O)=O)=O)C)O)=O)=O)OC6C(C(C(C(O6)C)N)O)O)O)C7=NC(=CS7)C(NCCNCC(O)C)=O
InChI 1S/C60H93N19O27S2/c1-18(82)10-67-6-7-69-50(95)26-15-107-55(73-26)27-16-108-56(74-27)43(93)54(106-57-41(91)39(89)33(63)22(5)100-57)79-52(97)35(21(4)83)75-32(86)9-28(84)20(3)72-53(98)36(77-51(96)34-19(2)47(64)78-49(76-34)24(8-31(62)85)70-11-23(61)48(65)94)44(25-12-68-17-71-25)103-59-46(40(90)37(87)29(13-80)102-59)104-58-42(92)45(105-60(66)99)38(88)30(14-81)101-58/h12,15-18,20-24,28-30,33,35-46,54,57-59,67,70,80-84,87-93H,6-11,13-14,61,63H2,1-5H3,(H2,62,85)(H2,65,94)(H2,66,99)(H,68,71)(H,69,95)(H,72,98)(H,75,86)(H,77,96)(H,79,97)(H2,64,76,78)
InChIKey SGFKFRJLRAPMFH-UHFFFAOYSA-N
Properties
Density 1.653g/cm3 (Cal.)
Market Analysis Reports
List of Reports Available for [2-[2-[2-[[6-Amino-2-[3-Amino-1-[(2,3-Diamino-3-Oxopropyl)Amino]-3-Oxopropyl]-5-Methylpyrimidine-4-Carbonyl]Amino]-3-[[5-[[1-[[1-(5-Amino-3,4-Dihydroxy-6-Methyloxan-2-Yl)Oxy-2-Hydroxy-2-[4-[4-[2-(2-Hydroxypropylamino)Ethylcarbamoyl]-1,3-Thiazol-2-Yl]-1,3-Thiazol-2-Yl]Ethyl]Amino]-3-Hydroxy-1-Oxobutan-2-Yl]Amino]-3-Hydroxy-5-Oxopentan-2-Yl]Amino]-1-(3H-Imidazol-4-Yl)-3-Oxopropoxy]-4,5-Dihydroxy-6-(Hydroxymethyl)Oxan-3-Yl]Oxy-3,5-Dihydroxy-6-(Hydroxymethyl)Oxan-4-Yl] Carbamate
Related Products
[2-[2-[2-[[6-Amino-2-[3-Amino-1-[(2,3-Di...  [2-[2-[2-[[6-Amino-2-[3-Amino-1-[(2,3-Di...  [2-[2-[2-[[6-Amino-2-[3-Amino-1-[(2,3-Di...  [2-[2-[2-[[6-Amino-2-[3-Amino-1-[(2,3-Di...  [2-[2-[2-[[6-Amino-2-[3-Amino-1-[(2,3-Di...  [2-[2-[2-[[6-Amino-2-[3-Amino-1-[(2,3-Di...  [2-[2-[2-[[6-Amino-2-[3-Amino-1-[(2,3-Di...  [2-[2-[2-[[6-Amino-2-[3-Amino-1-[(2,3-Di...  [2-[2-[2-[[6-Amino-2-[3-amino-1-[(2,3-di...  [(6aR,9R,10R,10aR)-1-Acetyloxy-9-Hydroxy...  1,1'-Oxybis[2-Chloroethanol]  Procyclidine  (1S,3R,5Z)-5-[(2E)-2-[(1R,3aS,7aR)-1-[(2...  Pyridin-1-Ium [[2-(4-Butoxyphenyl)Acetyl...  Pyridin-1-Ium (Naphthalene-2-Carbonylami...