Online Database of Chemicals from Around the World

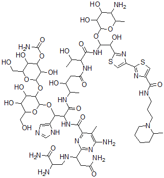
[2-[2-[2-[[6-氨基-2-[3-氨基-1-[(2,3-二氨基-3-氧代丙基)氨基]-3-氧代丙基]-5-甲基嘧啶-4-羰基]氨基]-3-[[5-[[1-[[1-(5-氨基-3,4-二羟基-6-甲基四氢吡喃-2-基)氧基-2-羟基-2-[4-[4-[3-(2-甲基哌啶-1-基)丙基氨基甲酰]-1,3-噻唑-2-基]-1,3-噻唑-2-基]乙基]氨基]-3-羟基-1-氧代丁烷-2-基]氨基]-3-羟基-5-氧代戊烷-2-基]氨基]-1-(1H-咪唑-5-基)-3-氧代丙氧基]-4,5-二羟基-6-(羟基甲基)四氢吡喃-3-基]氧基-3,5-二羟基-6-(羟基甲基)四氢吡喃-4-基]氨基甲酸酯
[CAS# 77368-81-1]

供应商
CAS#: 77368-81-1
产品: [2-[2-[2-[[6-氨基-2-[3-氨基-1-[(2,3-二氨基-3-氧代丙基)氨基]-3-氧代丙基]-5-甲基嘧啶-4-羰基]氨基]-3-[[5-[[1-[[1-(5-氨基-3,4-二羟基-6-甲基四氢吡喃-2-基)氧基-2-羟基-2-[4-[4-[3-(2-甲基哌啶-1-基)丙基氨基甲酰]-1,3-噻唑-2-基]-1,3-噻唑-2-基]乙基]氨基]-3-羟基-1-氧代丁烷-2-基]氨基]-3-羟基-5-氧代戊烷-2-基]氨基]-1-(1H-咪唑-5-基)-3-氧代丙氧基]-4,5-二羟基-6-(羟基甲基)四氢吡喃-3-基]氧基-3,5-二羟基-6-(羟基甲基)四氢吡喃-4-基]氨基甲酸酯
暂时没有厂家供应该产品。
基本信息
产品名称 [2-[2-[2-[[6-氨基-2-[3-氨基-1-[(2,3-二氨基-3-氧代丙基)氨基]-3-氧代丙基]-5-甲基嘧啶-4-羰基]氨基]-3-[[5-[[1-[[1-(5-氨基-3,4-二羟基-6-甲基四氢吡喃-2-基)氧基-2-羟基-2-[4-[4-[3-(2-甲基哌啶-1-基)丙基氨基甲酰]-1,3-噻唑-2-基]-1,3-噻唑-2-基]乙基]氨基]-3-羟基-1-氧代丁烷-2-基]氨基]-3-羟基-5-氧代戊烷-2-基]氨基]-1-(1H-咪唑-5-基)-3-氧代丙氧基]-4,5-二羟基-6-(羟基甲基)四氢吡喃-3-基]氧基-3,5-二羟基-6-(羟基甲基)四氢吡喃-4-基]氨基甲酸酯
英文名 [2-[2-[2-[[6-Amino-2-[3-amino-1-[(2,3-diamino-3-oxopropyl)amino]-3-oxopropyl]-5-methylpyrimidine-4-carbonyl]amino]-3-[[5-[[1-[[1-(5-amino-3,4-dihydroxy-6-methyloxan-2-yl)oxy-2-hydroxy-2-[4-[4-[3-(2-methylpiperidin-1-yl)propylcarbamoyl]-1,3-thiazol-2-yl]-1,3-thiazol-2-yl]ethyl]amino]-3-hydroxy-1-oxobutan-2-yl]amino]-3-hydroxy-5-oxopentan-2-yl]amino]-1-(1H-imidazol-5-yl)-3-oxopropoxy]-4,5-dihydroxy-6-(hydroxymethyl)oxan-3-yl]oxy-3,5-dihydroxy-6-(hydroxymethyl)oxan-4-yl] carbamate
别名 [2-[2-[2-[[6-Amino-2-[3-Amino-1-[(2,3-Diamino-3-Oxo-Propyl)Amino]-3-Oxo-Propyl]-5-Methyl-Pyrimidine-4-Carbonyl]Amino]-3-[[4-[[1-[[1-(5-Amino-3,4-Dihydroxy-6-Methyl-Tetrahydropyran-2-Yl)Oxy-2-Hydroxy-2-[4-[4-[3-(2-Methyl-1-Piperidyl)Propylcarbamoyl]Thiazol-2-Yl]Thiazol-2-Yl]Ethyl]Carbamoyl]-2-Hydroxy-Propyl]Amino]-2-Hydroxy-1-Methyl-4-Oxo-Butyl]Amino]-1-(3H-Imidazol-4-Yl)-3-Oxo-Propoxy]-4,5-Dihydroxy-6-(Hydroxymethyl)Tetrahydropyran-3-Yl]Oxy-3,5-Dihydroxy-6-(Hydroxymethyl)Tetrahydropyran-4-Yl] Carbamate; Carbamic Acid [2-[2-[2-[[6-Amino-2-[3-Amino-1-[(2,3-Diamino-3-Keto-Propyl)Amino]-3-Keto-Propyl]-5-Methyl-Pyrimidine-4-Carbonyl]Amino]-3-[[4-[[1-[[1-(5-Amino-3,4-Dihydroxy-6-Methyl-Tetrahydropyran-2-Yl)Oxy-2-Hydroxy-2-[4-[4-[3-(2-Methyl-1-Piperidyl)Propylcarbamoyl]Thiazol-2-Yl]Thiazol-2-Yl]Ethyl]Carbamoyl]-2-Hydroxy-Propyl]Amino]-2-Hydroxy-4-Keto-1-Methyl-Butyl]Amino]-1-(3H-Imidazol-4-Yl)-3-Keto-Propoxy]-4,5-Dihydroxy-6-Methylol-Tetrahydropyran-3-Yl]Oxy-3,5-Dihydroxy-6-Methylol-Tetrahydropyran-4-Yl] Ester; [2-[2-[2-[[6-Amino-2-[3-Amino-1-[(2,3-Diamino-3-Oxo-Propyl)Amino]-3-Oxo-Propyl]-5-Methyl-Pyrimidin-4-Yl]Carbonylamino]-3-[[5-[[1-[[1-(5-Amino-3,4-Dihydroxy-6-Methyl-Oxan-2-Yl)Oxy-2-Hydroxy-2-[4-[4-[3-(2-Methylpiperidin-1-Yl)Propylcarbamoyl]-1,3-Thiazol-2-Yl]-1,3-Thiazol-2-Yl]Ethyl]Amino]-3-Hydroxy-1-Oxo-Butan-2-Yl]Amino]-3-Hydroxy-5-Oxo-Pentan-2-Yl]Amino]-1-(3H-Imidazol-4-Yl)-3-Oxo-Propoxy]-4,5-Dihydroxy-6-(Hydroxymethyl)Oxan-3-Yl]Oxy-3,5-Dihydroxy-6-(Hydroxymethyl)Oxan-4-Yl] Carbamate
分子结构 CAS 登录号:77368-81-1, [2-[2-[2-[[6-氨基-2-[3-氨基-1-[(2,3-二氨基-3-氧代丙基)氨基]-3-氧代丙基]-5-甲基嘧啶-4-羰基]氨基]-3-[[5-[[1-[[1-(5-氨基-3,4-二羟基-6-甲基四氢吡喃-2-基)氧基-2-羟基-2-[4-[4-[3-(2-甲基哌啶-1-基)丙基氨基甲酰]-1,3-噻唑-2-基]-1,3-噻唑-2-基]乙基]氨基]-3-羟基-1-氧代丁烷-2-基]氨基]-3-羟基-5-氧代戊烷-2-基]氨基]-1-(1H-咪唑-5-基)-3-氧代丙氧基]-4,5-二羟基-6-(羟基甲基)四氢吡喃-3-基]氧基-3,5-二羟基-6-(羟基甲基)四氢吡喃-4-基]氨基甲酸酯
分子式 C64H99N19O26S2
分子量 1614.72
CAS 登录号 77368-81-1
分子行输入简码 SMILES C1=C(N=C(S1)C(C(NC(C(C(C)O)NC(CC(C(NC(C(C(C2=CN=C[NH]2)OC3C(C(C(C(O3)CO)O)O)OC4OC(C(C(C4O)OC(N)=O)O)CO)NC(C5=NC(=NC(=C5C)N)C(NCC(C(N)=O)N)CC(N)=O)=O)=O)C)O)=O)=O)OC6C(C(C(C(O6)C)N)O)O)O)C7=NC(=CS7)C(NCCCN8CCCCC8C)=O
国际化学标识码 InChI 1S/C64H99N19O26S2/c1-22-9-6-7-11-83(22)12-8-10-72-54(98)30-19-110-59(76-30)31-20-111-60(77-31)47(96)58(109-61-45(94)43(92)37(67)26(5)103-61)82-56(100)39(25(4)86)78-36(89)14-32(87)24(3)75-57(101)40(80-55(99)38-23(2)51(68)81-53(79-38)28(13-35(66)88)73-15-27(65)52(69)97)48(29-16-71-21-74-29)106-63-50(44(93)41(90)33(17-84)105-63)107-62-46(95)49(108-64(70)102)42(91)34(18-85)104-62/h16,19-22,24-28,32-34,37,39-50,58,61-63,73,84-87,90-96H,6-15,17-18,65,67H2,1-5H3,(H2,66,88)(H2,69,97)(H2,70,102)(H,71,74)(H,72,98)(H,75,101)(H,78,89)(H,80,99)(H,82,100)(H2,68,79,81)
国际化学标识检索码 InChIKey HUELGRJSTYMPIR-UHFFFAOYSA-N
物理化学性质
密度 1.614g/cm3 (计算值)
市场分析报告
请浏览[2-[2-[2-[[6-氨基-2-[3-氨基-1-[(2,3-二氨基-3-氧代丙基)氨基]-3-氧代丙基]-5-甲基嘧啶-4-羰基]氨基]-3-[[5-[[1-[[1-(5-氨基-3,4-二羟基-6-甲基四氢吡喃-2-基)氧基-2-羟基-2-[4-[4-[3-(2-甲基哌啶-1-基)丙基氨基甲酰]-1,3-噻唑-2-基]-1,3-噻唑-2-基]乙基]氨基]-3-羟基-1-氧代丁烷-2-基]氨基]-3-羟基-5-氧代戊烷-2-基]氨基]-1-(1H-咪唑-5-基)-3-氧代丙氧基]-4,5-二羟基-6-(羟基甲基)四氢吡喃-3-基]氧基-3,5-二羟基-6-(羟基甲基)四氢吡喃-4-基]氨基甲酸酯市场分析报告总目录
相关产品
[(6aR,9R,10R,10aR)-1-乙酰氧基...  1,1'-氧基二[2-氯乙醇]  丙环定  (1S,3R,5Z)-5-[(2E)-2-[(1R...  吡啶-1-鎓[[2-(4-丁氧基苯基)乙酰基]氨基...  吡啶-1-鎓(萘-2-羰基氨基)硫酸盐  (2S,5R)-6-[[3-[二(苯基)甲基]-5...  1-氮丙啶-1-基-2,3-二氢-1H-茚-2-醇  (3-丁基-3-羟基-2-氧代-庚基)4-硝基苯甲...  5-甲基-2-[(E)-3-苯基丙-2-烯酰基]苯...  (2-硝基苯基)甲基乙酸酯  3,3-二甲基丁-1-炔基膦  2-(2-溴乙酰基)氧基苯甲酸  氯苯沙明  N-(3-叠氮基苯基)-2-甲基-5,6-二氢-1...