Online Database of Chemicals from Around the World

4-[4-[4-[5-[5-Amino-3-(2-Aminopropanoylamino)-4-Hydroxy-6-Methyloxan-2-Yl]Oxy-3,4-Dihydroxy-6-(Hydroxymethyl)Oxan-2-Yl]Oxy-3,5-Dihydroxy-6-(Hydroxymethyl)Oxan-2-Yl]Oxy-3-Hydroxy-5-(Hydroxymethyl)Oxolan-2-Yl]Oxy-N-[3-[4-(4-Aminobutylamino)Butylamino]Propyl]Benzamide
[CAS# 78213-54-4]

Suppliers
CAS#: 78213-54-4
Product: 4-[4-[4-[5-[5-Amino-3-(2-Aminopropanoylamino)-4-Hydroxy-6-Methyloxan-2-Yl]Oxy-3,4-Dihydroxy-6-(Hydroxymethyl)Oxan-2-Yl]Oxy-3,5-Dihydroxy-6-(Hydroxymethyl)Oxan-2-Yl]Oxy-3-Hydroxy-5-(Hydroxymethyl)Oxolan-2-Yl]Oxy-N-[3-[4-(4-Aminobutylamino)Butylamino]Propyl]Benzamide
No suppilers available for the product.
Identification
Name 4-[4-[4-[5-[5-Amino-3-(2-Aminopropanoylamino)-4-Hydroxy-6-Methyloxan-2-Yl]Oxy-3,4-Dihydroxy-6-(Hydroxymethyl)Oxan-2-Yl]Oxy-3,5-Dihydroxy-6-(Hydroxymethyl)Oxan-2-Yl]Oxy-3-Hydroxy-5-(Hydroxymethyl)Oxolan-2-Yl]Oxy-N-[3-[4-(4-Aminobutylamino)Butylamino]Propyl]Benzamide
Synonyms 4-[4-[4-[5-[5-Amino-3-(2-Aminopropanoylamino)-4-Hydroxy-6-Methyl-Tetrahydropyran-2-Yl]Oxy-3,4-Dihydroxy-6-(Hydroxymethyl)Tetrahydropyran-2-Yl]Oxy-3,5-Dihydroxy-6-(Hydroxymethyl)Tetrahydropyran-2-Yl]Oxy-3-Hydroxy-5-(Hydroxymethyl)Tetrahydrofuran-2-Yl]Oxy-N-[3-[4-(4-Aminobutylamino)Butylamino]Propyl]Benzamide; 4-[[4-[[4-[[5-[[5-Amino-3-[(2-Amino-1-Oxopropyl)Amino]-4-Hydroxy-6-Methyl-2-Tetrahydropyranyl]Oxy]-3,4-Dihydroxy-6-(Hydroxymethyl)-2-Tetrahydropyranyl]Oxy]-3,5-Dihydroxy-6-(Hydroxymethyl)-2-Tetrahydropyranyl]Oxy]-3-Hydroxy-5-(Hydroxymethyl)-2-Tetrahydrofuranyl]Oxy]-N-[3-[4-(4-Aminobutylamino)Butylamino]Propyl]Benzamide; 4-[4-[4-[5-[3-(Alanylamino)-5-Amino-4-Hydroxy-6-Methyl-Tetrahydropyran-2-Yl]Oxy-3,4-Dihydroxy-6-Methylol-Tetrahydropyran-2-Yl]Oxy-3,5-Dihydroxy-6-Methylol-Tetrahydropyran-2-Yl]Oxy-3-Hydroxy-5-Methylol-Tetrahydrofuran-2-Yl]Oxy-N-[3-[4-(4-Aminobutylamino)Butylamino]Propyl]Benzamide
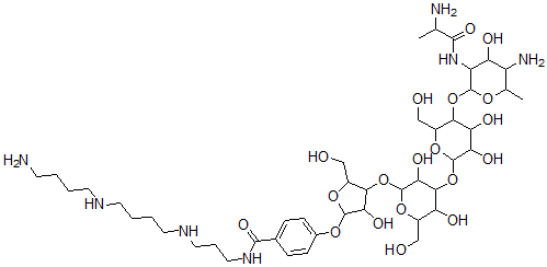
Molecular Structure CAS#: 78213-54-4, 4-[4-[4-[5-[5-Amino-3-(2-Aminopropanoylamino)-4-Hydroxy-6-Methyloxan-2-Yl]Oxy-3,4-Dihydroxy-6-(Hydroxymethyl)Oxan-2-Yl]Oxy-3,5-Dihydroxy-6-(Hydroxymethyl)Oxan-2-Yl]Oxy-3-Hydroxy-5-(Hydroxymethyl)Oxolan-2-Yl]Oxy-N-[3-[4-(4-Aminobutylamino)Butylamino]Propyl]Benzamide
Molecular Formula C44H77N7O19
Molecular Weight 1008.13
CAS Registry Number 78213-54-4
SMILES C5=C(OC4OC(C(OC1C(C(C(O)C(O1)CO)OC3C(C(C(OC2C(C(C(C(O2)C)N)O)NC(C(C)N)=O)C(O3)CO)O)O)O)C4O)CO)C=CC(=C5)C(=O)NCCCNCCCCNCCCCN
InChI 1S/C44H77N7O19/c1-21(46)39(61)51-29-31(56)28(47)22(2)63-41(29)68-36-26(19-53)66-42(33(58)32(36)57)70-38-30(55)25(18-52)65-44(35(38)60)69-37-27(20-54)67-43(34(37)59)64-24-10-8-23(9-11-24)40(62)50-17-7-16-49-15-6-5-14-48-13-4-3-12-45/h8-11,21-22,25-38,41-44,48-49,52-60H,3-7,12-20,45-47H2,1-2H3,(H,50,62)(H,51,61)
InChIKey RHNHFMNAFLYIKD-UHFFFAOYSA-N
Properties
Density 1.447g/cm3 (Cal.)
Boiling point 1244.264°C at 760 mmHg (Cal.)
Flash point 706.305°C (Cal.)
Market Analysis Reports
List of Reports Available for 4-[4-[4-[5-[5-Amino-3-(2-Aminopropanoylamino)-4-Hydroxy-6-Methyloxan-2-Yl]Oxy-3,4-Dihydroxy-6-(Hydroxymethyl)Oxan-2-Yl]Oxy-3,5-Dihydroxy-6-(Hydroxymethyl)Oxan-2-Yl]Oxy-3-Hydroxy-5-(Hydroxymethyl)Oxolan-2-Yl]Oxy-N-[3-[4-(4-Aminobutylamino)Butylamino]Propyl]Benzamide
Related Products
4-[4-[4-[5-[5-Amino-3-(2-Aminopropanoyla...  4-[4-[4-[5-[5-Amino-3-(2-Aminopropanoyla...  (2S)-2-Amino-2-(1-Methylcyclopropyl)Acet...  (2R,3S,3aR,4aS,4bS,6aR,7S,7dS,8S,9aS,14b...  (2R,3S,3aR,4aS,4bS,6aR,7S,7dR,8S,9aR,14b...  2-[(E)-2-(3-Methoxyphenyl)Ethenyl]-3,1-B...  (2Z)-2-[(Z)-4-(4-Oxo-1-Cyclohexa-2,5-Die...  4-[(1S,6R)-3-Methyl-6-Prop-1-En-2-Yl-1-C...  4-Ethyl-4-Hexadecylmorpholinium Ethyl Su...  4-(1-Benzofuran-2-Yl)Aniline  3-Diethylaminopropyl 2,3-Di(Phenyl)Propa...  3-Chloro-N-(2-Chloroethyl)Propan-1-Amine...  2-[Bis(2-Chloroethyl)Amino-(2-Chloroetho...  Dipropan-2-Yl Pyridin-3-Yl Phosphate  4-[[Bis(2-Chloroethyl)Amino-(2-Chloroeth...