Online Database of Chemicals from Around the World

1-[7-(2-氨基-2-氧代乙基)-10-(3-氨基-3-氧代丙基)-16-[(4-羟基苯基)甲基]-6,9,12,15,18-五氧代-13-(苯基甲基)1,2-二硫杂-5,8,11,14,17-五氮杂环二十烷-4-羰基]-N-[1-[(1-氨基-1-氧代丙烷-2-基)氨基]-5-(二氨基亚甲基氨基)-1-氧代戊烷-2-基]吡咯烷-2-甲酰胺
[CAS# 78338-40-6]

供应商
CAS#: 78338-40-6
产品: 1-[7-(2-氨基-2-氧代乙基)-10-(3-氨基-3-氧代丙基)-16-[(4-羟基苯基)甲基]-6,9,12,15,18-五氧代-13-(苯基甲基)1,2-二硫杂-5,8,11,14,17-五氮杂环二十烷-4-羰基]-N-[1-[(1-氨基-1-氧代丙烷-2-基)氨基]-5-(二氨基亚甲基氨基)-1-氧代戊烷-2-基]吡咯烷-2-甲酰胺
暂时没有厂家供应该产品。
基本信息
产品名称 1-[7-(2-氨基-2-氧代乙基)-10-(3-氨基-3-氧代丙基)-16-[(4-羟基苯基)甲基]-6,9,12,15,18-五氧代-13-(苯基甲基)1,2-二硫杂-5,8,11,14,17-五氮杂环二十烷-4-羰基]-N-[1-[(1-氨基-1-氧代丙烷-2-基)氨基]-5-(二氨基亚甲基氨基)-1-氧代戊烷-2-基]吡咯烷-2-甲酰胺
英文名 1-[7-(2-Amino-2-Oxoethyl)-10-(3-Amino-3-Oxopropyl)-16-[(4-Hydroxyphenyl)Methyl]-6,9,12,15,18-Pentaoxo-13-(Phenylmethyl)1,2-Dithia-5,8,11,14,17-Pentazacycloicosane-4-Carbonyl]-N-[1-[(1-Amino-1-Oxopropan-2-Yl)Amino]-5-(Diaminomethylideneamino)-1-Oxopentan-2-Yl]Pyrrolidine-2-Carboxamide
别名 N-[1-[(2-Amino-1-Methyl-2-Oxo-Ethyl)Carbamoyl]-4-Guanidino-Butyl]-1-[7-(2-Amino-2-Oxo-Ethyl)-10-(3-Amino-3-Oxo-Propyl)-16-[(4-Hydroxyphenyl)Methyl]-6,9,12,15,18-Pentaoxo-13-(Phenylmethyl)1,2-Dithia-5,8,11,14,17-Pentazacycloicosane-4-Carbonyl]Pyrrolidine-2-Carboxamide; N-[1-[[(2-Amino-1-Methyl-2-Oxoethyl)Amino]-Oxomethyl]-4-Guanidinobutyl]-1-[[7-(2-Amino-2-Oxoethyl)-10-(3-Amino-3-Oxopropyl)-16-[(4-Hydroxyphenyl)Methyl]-6,9,12,15,18-Pentaoxo-13-(Phenylmethyl)-1,2-Dithia-5,8,11,14,17-Pentazacycloicos-4-Yl]-Oxomethyl]-2-Pyrrolidinecarboxamide; 1-[7-(2-Amino-2-Keto-Ethyl)-10-(3-Amino-3-Keto-Propyl)-13-(Benzyl)-16-(4-Hydroxybenzyl)-6,9,12,15,18-Pentaketo-1,2-Dithia-5,8,11,14,17-Pentazacycloicosane-4-Carbonyl]-N-[1-[(2-Amino-2-Keto-1-Methyl-Ethyl)Carbamoyl]-4-Guanidino-Butyl]Pyrrolidine-2-Carboxamide
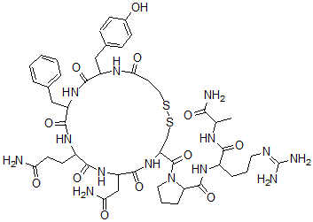
分子结构 CAS 登录号:78338-40-6, 1-[7-(2-氨基-2-氧代乙基)-10-(3-氨基-3-氧代丙基)-16-[(4-羟基苯基)甲基]-6,9,12,15,18-五氧代-13-(苯基甲基)1,2-二硫杂-5,8,11,14,17-五氮杂环二十烷-4-羰基]-N-[1-[(1-氨基-1-氧代丙烷-2-基)氨基]-5-(二氨基亚甲基氨基)-1-氧代戊烷-2-基]吡咯烷-2-甲酰胺
分子式 C47H66N14O12S2
分子量 1083.25
CAS 登录号 78338-40-6
分子行输入简码 SMILES C4=C(CC1NC(=O)C(NC(=O)CCSSCC(NC(=O)C(NC(=O)C(NC1=O)CCC(=O)N)CC(=O)N)C(=O)N2C(CCC2)C(=O)NC(CCCN=C(N)N)C(=O)NC(C)C(=O)N)CC3=CC=C(O)C=C3)C=CC=C4
国际化学标识码 InChI 1S/C47H66N14O12S2/c1-25(39(50)66)54-40(67)29(9-5-18-53-47(51)52)57-45(72)35-10-6-19-61(35)46(73)34-24-75-74-20-17-38(65)55-31(22-27-11-13-28(62)14-12-27)42(69)58-32(21-26-7-3-2-4-8-26)43(70)56-30(15-16-36(48)63)41(68)59-33(23-37(49)64)44(71)60-34/h2-4,7-8,11-14,25,29-35,62H,5-6,9-10,15-24H2,1H3,(H2,48,63)(H2,49,64)(H2,50,66)(H,54,67)(H,55,65)(H,56,70)(H,57,72)(H,58,69)(H,59,68)(H,60,71)(H4,51,52,53)
国际化学标识检索码 InChIKey ZSQRCQGFSCQHFK-UHFFFAOYSA-N
物理化学性质
密度 1.55g/cm3 (计算值)
市场分析报告
请浏览1-[7-(2-氨基-2-氧代乙基)-10-(3-氨基-3-氧代丙基)-16-[(4-羟基苯基)甲基]-6,9,12,15,18-五氧代-13-(苯基甲基)1,2-二硫杂-5,8,11,14,17-五氮杂环二十烷-4-羰基]-N-[1-[(1-氨基-1-氧代丙烷-2-基)氨基]-5-(二氨基亚甲基氨基)-1-氧代戊烷-2-基]吡咯烷-2-甲酰胺市场分析报告总目录
相关产品
(3R)-3-羟基-1-(4-甲氧基苯甲酰基)吡咯...  L-谷氨酰胺与3,8-二甲基-5-(1-甲基乙基)...  [(1S,4aR)-8-[2-[(2R,4R)-4...  7-[4-氨基-5-[3-羟基-1-(1-羟基丙-...  [[[[(2R,3S,4R,5R)-3,4-二羟基...  3'-羟基Ht-2 毒素  2-亚甲基-1H-[1,3]恶唑并[3,2-a]苯...  N-(氰基甲氧基)苯甲醛肟氰化物  L-赖氨酸与3,5-二(乙酰氨基)-2,4,6-三...  Percogesic  2-[2-羟基乙基-[2-[甲基-(2-甲基-1-...  [8-[(4-乙基苯基)甲基]-8-甲基-8-铵双...  3-(2-氯苯基)-1-(2-二乙基氨基乙基)-1...  1-(2-二乙基氨基乙基)-1-甲基-3-(2,4...  N-(2-氯-6-甲基苯基)-2-吡咯烷-1-基戊...