Online Database of Chemicals from Around the World

L-丝氨酰-L-alpha-天冬氨酰-L-亮氨酰-L-脯氨酰-L-谷氨酰胺酰-L-苏氨酰-L-组氨酰-L-丝氨酰-L-亮氨酰甘氨酰-L-天冬氨酰胺酰-L-精氨酰-L-精氨酰-L-丙氨酰-L-亮氨酰-L-异亮氨酰-L-亮氨酰-L-亮氨酰-L-丙氨酰-L-谷氨酰胺
[CAS# 79113-16-9]

供应商
CAS#: 79113-16-9
产品: L-丝氨酰-L-alpha-天冬氨酰-L-亮氨酰-L-脯氨酰-L-谷氨酰胺酰-L-苏氨酰-L-组氨酰-L-丝氨酰-L-亮氨酰甘氨酰-L-天冬氨酰胺酰-L-精氨酰-L-精氨酰-L-丙氨酰-L-亮氨酰-L-异亮氨酰-L-亮氨酰-L-亮氨酰-L-丙氨酰-L-谷氨酰胺
暂时没有厂家供应该产品。
基本信息
产品名称 L-丝氨酰-L-alpha-天冬氨酰-L-亮氨酰-L-脯氨酰-L-谷氨酰胺酰-L-苏氨酰-L-组氨酰-L-丝氨酰-L-亮氨酰甘氨酰-L-天冬氨酰胺酰-L-精氨酰-L-精氨酰-L-丙氨酰-L-亮氨酰-L-异亮氨酰-L-亮氨酰-L-亮氨酰-L-丙氨酰-L-谷氨酰胺
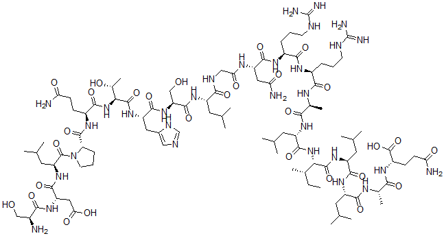
英文名 L-Seryl-L-alpha-Aspartyl-L-Leucyl-L-Prolyl-L-Glutaminyl-L-Threonyl-L-Histidyl-L-Seryl-L-Leucylglycyl-L-Asparaginyl-L-Arginyl-L-Arginyl-L-Alanyl-L-Leucyl-L-Isoleucyl-L-Leucyl-L-Leucyl-L-Alanyl-L-Glutamine
别名 Interferon Eicosapeptide; Interferon Eicosapeptide (Human Lymphoblastoid); Itf-Ecp
分子结构 CAS 登录号:79113-16-9, L-丝氨酰-L-alpha-天冬氨酰-L-亮氨酰-L-脯氨酰-L-谷氨酰胺酰-L-苏氨酰-L-组氨酰-L-丝氨酰-L-亮氨酰甘氨酰-L-天冬氨酰胺酰-L-精氨酰-L-精氨酰-L-丙氨酰-L-亮氨酰-L-异亮氨酰-L-亮氨酰-L-亮氨酰-L-丙氨酰-L-谷氨酰胺
分子式 C95H163N31O29
分子量 2203.52
CAS 登录号 79113-16-9
分子行输入简码 SMILES [C@@H](N)(C(=O)N[C@H](C(=O)N[C@H](C(=O)N2[C@H](C(=O)N[C@H](C(=O)N[C@H](C(=O)N[C@H](C(=O)N[C@H](C(=O)N[C@H](C(=O)NCC(=O)N[C@H](C(=O)N[C@H](C(=O)N[C@H](C(=O)N[C@@H](C)C(=O)N[C@H](C(=O)N[C@H](C(=O)N[C@H](C(=O)N[C@H](C(=O)N[C@@H](C)C(=O)N[C@H](C(=O)O)CCC(=O)N)CC(C)C)CC(C)C)[C@@H](C)CC)CC(C)C)CCCNC(N)=N)CCCNC(N)=N)CC(=O)N)CC(C)C)CO)CC1=CN=C[NH]1)[C@H](O)C)CCC(=O)N)CCC2)CC(C)C)CC(=O)O)CO
国际化学标识码 InChI 1S/C95H163N31O29/c1-16-48(12)73(90(151)120-60(32-45(6)7)83(144)119-59(31-44(4)5)82(143)110-49(13)75(136)115-57(93(154)155)24-26-69(98)131)124-87(148)61(33-46(8)9)116-76(137)50(14)109-79(140)54(20-17-27-105-94(100)101)112-80(141)55(21-18-28-106-95(102)103)113-85(146)63(36-70(99)132)111-71(133)39-107-78(139)58(30-43(2)3)118-88(149)66(41-128)123-84(145)62(35-52-38-104-42-108-52)121-91(152)74(51(15)129)125-81(142)56(23-25-68(97)130)114-89(150)67-22-19-29-126(67)92(153)65(34-47(10)11)122-86(147)64(37-72(134)135)117-77(138)53(96)40-127/h38,42-51,53-67,73-74,127-129H,16-37,39-41,96H2,1-15H3,(H2,97,130)(H2,98,131)(H2,99,132)(H,104,108)(H,107,139)(H,109,140)(H,110,143)(H,111,133)(H,112,141)(H,113,146)(H,114,150)(H,115,136)(H,116,137)(H,117,138)(H,118,149)(H,119,144)(H,120,151)(H,121,152)(H,122,147)(H,123,145)(H,124,148)(H,125,142)(H,134,135)(H,154,155)(H4,100,101,105)(H4,102,103,106)/t48-,49-,50-,51+,53-,54-,55-,56-,57-,58-,59-,60-,61-,62-,63-,64-,65-,66-,67-,73-,74-/m0/s1
国际化学标识检索码 InChIKey GGNFIWYADXBDCW-KKXOUGQESA-N
市场分析报告
请浏览L-丝氨酰-L-alpha-天冬氨酰-L-亮氨酰-L-脯氨酰-L-谷氨酰胺酰-L-苏氨酰-L-组氨酰-L-丝氨酰-L-亮氨酰甘氨酰-L-天冬氨酰胺酰-L-精氨酰-L-精氨酰-L-丙氨酰-L-亮氨酰-L-异亮氨酰-L-亮氨酰-L-亮氨酰-L-丙氨酰-L-谷氨酰胺市场分析报告总目录
相关产品
4-(3-重氮基-2-氧代亚丙基)-2,2,6,6...  (Z)-3-(4-重氮基-3-氧代-1-丁烯基)-...  (6R,7R)-7-[[3-羟基-2-(4-羟基苯...  [N'-[4-(4-乙酰氨基苯氧基)羰基苯基]甲脒...  甲基4-[4-二甲基氨基-5-[4-羟基-6-甲基...  [乙酰基-(7-碘-9H-芴-2-基)氨基]十四烷...  9-(二羟基甲亚基)-4,5-二氧代-1,6-二氢...  N-[(2S,3R,4R,5S,6R)-5-[(2...  17,18-二溴十八烷酸  2-丙基-1,3-噻嗪烷盐酸盐  2-丙-2-基-1,3-噻嗪烷盐酸盐  2-丁基-1,3-噻嗪烷盐酸盐  2-戊烷-2-基-1,3-噻嗪烷盐酸盐  2-壬基-1,3-噻嗪烷盐酸盐  2-苯基-1,3-噻嗪烷盐酸盐