Online Database of Chemicals from Around the World

4'-O-去甲基猎神霉素
[CAS# 80118-77-0]

供应商
CAS#: 80118-77-0
产品: 4'-O-去甲基猎神霉素
暂时没有厂家供应该产品。
基本信息
产品名称 4'-O-去甲基猎神霉素
英文名 4'-O-Demethyldianemycin
别名 Sodium (E)-6-[[(2S,8S,9S)-9-Hydroxy-2-[(2R,4R,7R,9S,10R)-2-[(3S,5R,6R)-6-Hydroxy-6-(Hydroxymethyl)-3,5-Dimethyl-Tetrahydropyran-2-Yl]-9-[(2S,5S,6R)-5-Hydroxy-6-Methyl-Tetrahydropyran-2-Yl]Oxy-4,10-Dimethyl-1,6-Dioxaspiro[4.5]Decan-7-Yl]-2,8-Dimethyl-1,6-Dioxaspiro[4.5]Decan-8-Yl]Methyl]-2,4-Dimethyl-5-Oxo-Non-6-Enoate; Sodium (E)-6-[[(2S,8S,9S)-9-Hydroxy-2-[(2R,4R,7R,9S,10R)-2-[(3S,5R,6R)-6-Hydroxy-6-(Hydroxymethyl)-3,5-Dimethyl-2-Tetrahydropyranyl]-9-[[(2S,5S,6R)-5-Hydroxy-6-Methyl-2-Tetrahydropyranyl]Oxy]-4,10-Dimethyl-1,6-Dioxaspiro[4.5]Decan-7-Yl]-2,8-Dimethyl-1,6-Dioxaspiro[4.5]Decan-8-Yl]Methyl]-2,4-Dimethyl-5-Oxonon-6-Enoate; Sodium (E)-6-[[(2S,8S,9S)-9-Hydroxy-2-[(2R,4R,7R,9S,10R)-2-[(3S,5R,6R)-6-Hydroxy-3,5-Dimethyl-6-Methylol-Tetrahydropyran-2-Yl]-9-[(2S,5S,6R)-5-Hydroxy-6-Methyl-Tetrahydropyran-2-Yl]Oxy-4,10-Dimethyl-1,6-Dioxaspiro[4.5]Decan-7-Yl]-2,8-Dimethyl-1,6-Dioxaspiro[4.5]Decan-8-Yl]Methyl]-5-Keto-2,4-Dimethyl-Non-6-Enoate
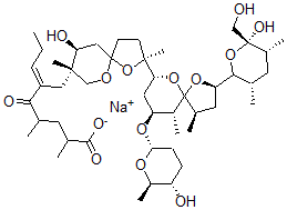
分子结构 CAS 登录号:80118-77-0, 4'-O-去甲基猎神霉素
分子式 C46H75NaO14
分子量 875.08
CAS 登录号 80118-77-0
分子行输入简码 SMILES [C@H]4(OC1(O[C@H](C[C@H]1C)C2O[C@](O)([C@@H](C[C@@H]2C)C)CO)[C@@H]([C@@H](O[C@H]3O[C@@H]([C@@H](O)CC3)C)C4)C)[C@]6(OC5(OC[C@@]([C@@H](O)C5)(C\C(C(=O)C(CC(C([O-])=O)C)C)=C/CC)C)CC6)C.[Na+]
国际化学标识码 InChI 1S/C46H76O14.Na/c1-11-12-32(39(50)25(2)17-27(4)41(51)52)21-42(9)24-54-44(22-36(42)49)16-15-43(10,60-44)37-20-34(56-38-14-13-33(48)31(8)55-38)30(7)46(58-37)29(6)19-35(57-46)40-26(3)18-28(5)45(53,23-47)59-40;/h12,25-31,33-38,40,47-49,53H,11,13-24H2,1-10H3,(H,51,52);/q;+1/p-1/b32-12+;/t25?,26-,27?,28+,29+,30+,31+,33-,34-,35+,36-,37+,38+,40?,42-,43-,44?,45-,46?;/m0./s1
国际化学标识检索码 InChIKey POEFPAGCCFSWBQ-XBIOXLLRSA-M
物理化学性质
沸点 927°C at 760 mmHg (计算值)
闪点 264.1°C (计算值)
市场分析报告
请浏览4'-O-去甲基猎神霉素市场分析报告总目录
相关产品
3'-羟基猎神霉素  偏磷酸六钠  3-溴-1,2-环氧环己烷  Nestosyl Ointment  4'-(beta-D-吡喃葡萄糖基糖醛酸)-del...  丙烷-1,2,3-三醇  英泼来特  5,6-环氧视黄基磷酸酯  2-[2-(二(羧酸甲基)氨基)乙基(羧酸甲基)氨...  3-乙酰氨基-3,6-二脱氧葡萄糖  2-乙基己基2-氰基-3,3-二苯基-丙-2-烯酸...  苯甲酸  氧杂环庚烷-2-酮  柠檬酸化氰氨化钙  4-(4-氯苯基)-N,N-二甲基哌啶-4-甲酰胺