Online Database of Chemicals from Around the World

Instenon
[CAS# 8067-16-1]

供应商
CAS#: 8067-16-1
产品: Instenon
暂时没有厂家供应该产品。
基本信息
产品名称 Instenon
英文名 Instenon
别名 [3,6-Bis(Methylimino)-8-(3,4,5-Trimethoxybenzoyl)Oxy-Octyl] 3,4,5-Trimethoxybenzoate; N,N-Diethyl-4-Hydroxy-3-Methoxy-Benzamide; 7-(2-Hydroxyethyl)-1,3-Dimethyl-Purine-2,6-Dione; N,N-Diethyl-4-Hydroxy-3-Methoxybenzamide; 7-(2-Hydroxyethyl)-1,3-Dimethylpurine-2,6-Dione; 3,4,5-Trimethoxybenzoic Acid [3,6-Bis(Methylimino)-8-[Oxo-(3,4,5-Trimethoxyphenyl)Methoxy]Octyl] Ester
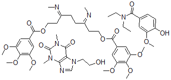
分子结构 CAS 登录号:8067-16-1, Instenon
分子式 C51H69N7O16
分子量 1036.14
CAS 登录号 8067-16-1
分子行输入简码 SMILES C1=NC2=C([N]1CCO)C(=O)N(C(=O)N2C)C.C3=C(C=C(OC)C(=C3OC)OC)C(OCCC(=NC)CCC(=NC)CCOC(=O)C4=CC(=C(OC)C(=C4)OC)OC)=O.C(N(C(=O)C5=CC=C(O)C(=C5)OC)CC)C
国际化学标识码 InChI 1S/C30H40N2O10.C12H17NO3.C9H12N4O3/c1-31-21(11-13-41-29(33)19-15-23(35-3)27(39-7)24(16-19)36-4)9-10-22(32-2)12-14-42-30(34)20-17-25(37-5)28(40-8)26(18-20)38-6;1-4-13(5-2)12(15)9-6-7-10(14)11(8-9)16-3;1-11-7-6(8(15)12(2)9(11)16)13(3-4-14)5-10-7/h15-18H,9-14H2,1-8H3;6-8,14H,4-5H2,1-3H3;5,14H,3-4H2,1-2H3
国际化学标识检索码 InChIKey CJIRYEUCSABKOK-UHFFFAOYSA-N
市场分析报告
请浏览Instenon市场分析报告总目录
相关产品
硬脂  2-(环己基亚硝基氨基)-2-噻唑啉  2-[2,3-二氯-4-[(E)-3-氧代-3-噻...  alpha-(三氯甲基)-2-吡啶甲醇  2-硝基-7H-呋喃并(3,2-f)(1)苯并吡喃...  2-甲基-3-[(2-甲基-1-氧代烯丙基)氨基]...  毒莠定 101  Innovar  3-二苯甲基氧基-8-甲基-8-氮杂双环[3.2....  氯压定和氯噻酮混合物  长效西林-3  新骏河毒素  3-乙酰基异羟基洋地黄毒甙元  2'-脱氧-2'-氟鸟苷酰-(3'-5')尿苷  9-羧基甲氧基甲基鸟嘌呤