Online Database of Chemicals from Around the World

缩胆囊素 (1-14)
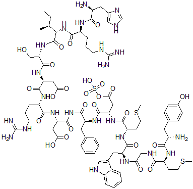
[CAS# 80980-82-1]

供应商
CAS#: 80980-82-1
产品: 缩胆囊素 (1-14)
暂时没有厂家供应该产品。
基本信息
产品名称 缩胆囊素 (1-14)
英文名 Cholecystokinin (1-14)
别名 Cck 14; Cholecystokinin (1-14); L-Phenylalaninamide, L-Histidyl-L-Arginyl-L-Isoleucyl-L-Seryl-L-Alpha-Aspartyl-L-Arginyl-L-Alpha-Aspartyl-O-Sulfo-L-Tyrosyl-L-Methionylglycyl-L-Tryptophyl-L-Methionyl-L-Alpha-Aspartyl-
分子结构 CAS 登录号:80980-82-1, 缩胆囊素 (1-14)
分子式 C80H114N24O25S3
分子量 1908.11
CAS 登录号 80980-82-1
分子行输入简码 SMILES [C@H](C(=O)NC([C@@H](NC([C@@H](NC([C@@H](NC([C@@H](NC([C@@H](NC([C@@H](NC([C@@H](N)CC1=C[NH]C=N1)=O)CCCNC(=N)N)=O)[C@H](CC)C)=O)CO)=O)CC(=O)O)=O)CCCNC(=N)N)=O)CC(=O)O)=O)(NC([C@@H](NC([C@@H](NC([C@@H](NC(CNC([C@@H](NC([C@@H](N)CC2=CC=C(O)C=C2)=O)CCSC)=O)=O)CC3=C[NH]C4=CC=CC=C34)=O)CCSC)=O)CC(O[S](=O)(=O)O)=O)=O)CC5=CC=CC=C5
国际化学标识码 InChI 1S/C80H114N24O25S3/c1-5-41(2)65(103-71(118)52(18-12-26-89-80(85)86)94-67(114)49(82)32-45-37-87-40-92-45)78(125)102-60(39-105)77(124)100-57(33-62(108)109)73(120)96-51(17-11-25-88-79(83)84)69(116)99-58(34-63(110)111)76(123)104-75(122)55(30-42-13-7-6-8-14-42)98-74(121)59(35-64(112)129-132(126,127)128)101-70(117)54(24-28-131-4)97-72(119)56(31-44-36-90-50-16-10-9-15-47(44)50)93-61(107)38-91-68(115)53(23-27-130-3)95-66(113)48(81)29-43-19-21-46(106)22-20-43/h6-10,13-16,19-22,36-37,40-41,48-49,51-60,65,90,105-106H,5,11-12,17-18,23-35,38-39,81-82H2,1-4H3,(H,87,92)(H,91,115)(H,93,107)(H,94,114)(H,95,113)(H,96,120)(H,97,119)(H,98,121)(H,99,116)(H,100,124)(H,101,117)(H,102,125)(H,103,118)(H,108,109)(H,110,111)(H4,83,84,88)(H4,85,86,89)(H,104,122,123)(H,126,127,128)/t41-,48-,49-,51-,52-,53-,54-,55-,56-,57-,58-,59-,60-,65-/m0/s1
国际化学标识检索码 InChIKey FVSJMMYIYUHKBH-TYCHKHOASA-N
物理化学性质
密度 1.55g/cm3 (计算值)
市场分析报告
请浏览缩胆囊素 (1-14)市场分析报告总目录
相关产品
八亚甲基二(甲烷硫代磺酸酯)  12-((3alpha)-17-甲氧基-17-氧代...  14-((3alpha)-17-甲氧基-17-氧代...  (2-氨基-3-甲基-5-丙基磺酰基)苯并咪唑  6,7-二(氯甲基)-2,3-二氢-1,4-苯并二...  2,3-二氢-1H-哒嗪并(4,5-b)吲哚-1,...  甲基-氨基甲酸2-羟基-3-(邻甲苯氧基)丙基酯  2-甲基-3-(甲硫基)丙酸甲酯  5-(1,3-苯并二氧戊环-5-基)-1,3,4-...  1-(3,5-二-O-乙酰基-2-脱氧-beta-...  三十二碳环内酯  2-甲硫基-N-异丙基乙酰苯胺  1,2-二油酰基-3-S-十四烷基-3-硫代甘油 ...  9,10-去氢亚德里亚霉素  佛波醇 12-N-甲基邻氨基苯甲酸酯