Online Database of Chemicals from Around the World

[(1S)-1,4aa,5,6,7,7aa-六氢-5a,6a,7a-三羟基-7-(羟基甲基)环戊烯并[c]吡喃-1a-基]beta-D-吡喃葡萄糖苷
[CAS# 81026-61-1]

供应商
CAS#: 81026-61-1
产品: [(1S)-1,4aa,5,6,7,7aa-六氢-5a,6a,7a-三羟基-7-(羟基甲基)环戊烯并[c]吡喃-1a-基]beta-D-吡喃葡萄糖苷
暂时没有厂家供应该产品。
基本信息
产品名称 [(1S)-1,4aa,5,6,7,7aa-六氢-5a,6a,7a-三羟基-7-(羟基甲基)环戊烯并[c]吡喃-1a-基]beta-D-吡喃葡萄糖苷
英文名 [(1S)-1,4aa,5,6,7,7aa-Hexahydro-5a,6a,7a-Trihydroxy-7-(Hydroxymethyl)Cyclopenta[c]Pyran-1a-Yl]beta-D-Glucopyranoside
别名 (2S,3S,4R,5R,6S)-6-[[(4Ar,7S,7As)-7-Hydroxy-7-(Hydroxymethyl)-4A,5,6,7A-Tetrahydro-1H-Cyclopenta[C]Pyran-1-Yl]Oxy]-2-(Dihydroxymethyl)Tetrahydropyran-2,3,4,5-Tetrol; (2S,3S,4R,5R,6S)-6-[[(4Ar,7S,7As)-7-Hydroxy-7-Methylol-4A,5,6,7A-Tetrahydro-1H-Cyclopenta[C]Pyran-1-Yl]Oxy]-2-(Dihydroxymethyl)Tetrahydropyran-2,3,4,5-Tetrol; Beta-D-Glucopyranoside, (1S,4Ar,5S,6S,7S,7As)-1,4A,5,6,7,7A-Hexahydro-5,6,7-Trihydroxy-7-(Hydroxymethyl)Cyclopenta(C)Pyran-1-Yl
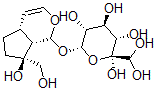
分子结构 CAS 登录号:81026-61-1, [(1S)-1,4aa,5,6,7,7aa-六氢-5a,6a,7a-三羟基-7-(羟基甲基)环戊烯并[c]吡喃-1a-基]beta-D-吡喃葡萄糖苷
分子式 C15H24O11
分子量 380.35
CAS 登录号 81026-61-1
分子行输入简码 SMILES [C@@H]3(OC1[C@H]2[C@@H](C=CO1)CC[C@]2(CO)O)[C@H](O)[C@@H](O)[C@H](O)[C@](O3)(C(O)O)O
国际化学标识码 InChI 1S/C15H24O11/c16-5-14(22)3-1-6-2-4-24-11(7(6)14)25-12-9(18)8(17)10(19)15(23,26-12)13(20)21/h2,4,6-13,16-23H,1,3,5H2/t6-,7-,8-,9-,10+,11?,12+,14-,15+/m1/s1
国际化学标识检索码 InChIKey HRCBFNSQUDOYRQ-YCWFDIDMSA-N
物理化学性质
密度 1.758g/cm3 (计算值)
沸点 663.848°C at 760 mmHg (计算值)
闪点 355.283°C (计算值)
市场分析报告
请浏览[(1S)-1,4aa,5,6,7,7aa-六氢-5a,6a,7a-三羟基-7-(羟基甲基)环戊烯并[c]吡喃-1a-基]beta-D-吡喃葡萄糖苷市场分析报告总目录
相关产品
依尼前列素  4-(乙氧羰基)-3,5-二甲氧基苯甲酸  N-(2-氨基乙基)-4-羟基苯甲酰胺单盐酸盐  N-[2-(二乙胺)乙基]-4-乙氧基苯甲酰胺单盐...  Amopen  甘露糖基(2)-N-乙酰基(2)-葡萄糖  3-奎宁环基4-叠氮基三苯乙醇酯  N-甲基-4-哌啶基 4-叠氮基三苯乙醇酯  派那马地酸  3-[2-[4-(4-氟苯甲酰)-1-哌啶基]乙基...  4-甲基苯并二硫杂环丁烷  苯丁酸氮芥-脯氨酸  2-(2-十二烷氧基乙氧基)乙基 2-(4-氧代-...  2-(4-氯苯基)-1-乙基-6-甲基-4-氧代-...  Aridanin