Online Database of Chemicals from Around the World

1-(beta-巯基-beta,beta-二乙基丙酸)-精氨酸加压素
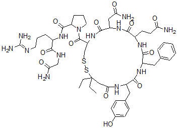
[CAS# 81131-88-6]

供应商
CAS#: 81131-88-6
产品: 1-(beta-巯基-beta,beta-二乙基丙酸)-精氨酸加压素
暂时没有厂家供应该产品。
基本信息
产品名称 1-(beta-巯基-beta,beta-二乙基丙酸)-精氨酸加压素
英文名 1-(beta-Mercapto-beta,beta-Diethylpropionic Acid)-Argipressin
别名 1-[7-(2-Amino-2-Oxo-Ethyl)-10-(3-Amino-3-Oxo-Propyl)-20,20-Diethyl-16-[(4-Hydroxyphenyl)Methyl]-6,9,12,15,18-Pentaoxo-13-(Phenylmethyl)1,2-Dithia-5,8,11,14,17-Pentazacycloicosane-4-Carbonyl]-N-[1-[(2-Amino-2-Oxo-Ethyl)Carbamoyl]-4-Guanidino-Butyl]Pyrrolidine-2-Carboxamide; N-[1-[[(2-Amino-2-Oxoethyl)Amino]-Oxomethyl]-4-Guanidinobutyl]-1-[[7-(2-Amino-2-Oxoethyl)-10-(3-Amino-3-Oxopropyl)-20,20-Diethyl-16-[(4-Hydroxyphenyl)Methyl]-6,9,12,15,18-Pentaoxo-13-(Phenylmethyl)-1,2-Dithia-5,8,11,14,17-Pentazacycloicos-4-Yl]-Oxomethyl]-2-Pyrrolidinecarboxamide; 1-[7-(2-Amino-2-Keto-Ethyl)-10-(3-Amino-3-Keto-Propyl)-13-(Benzyl)-20,20-Diethyl-16-(4-Hydroxybenzyl)-6,9,12,15,18-Pentaketo-1,2-Dithia-5,8,11,14,17-Pentazacycloicosane-4-Carbonyl]-N-[1-[(2-Amino-2-Keto-Ethyl)Carbamoyl]-4-Guanidino-Butyl]Pyrrolidine-2-Carboxamide
分子结构 CAS 登录号:81131-88-6, 1-(beta-巯基-beta,beta-二乙基丙酸)-精氨酸加压素
分子式 C50H72N14O12S2
分子量 1125.33
CAS 登录号 81131-88-6
分子行输入简码 SMILES C4=C(CC1NC(=O)CC(SSCC(NC(=O)C(NC(=O)C(NC(=O)C(NC1=O)CC2=CC=CC=C2)CCC(=O)N)CC(=O)N)C(=O)N3C(CCC3)C(=O)NC(CCCN=C(N)N)C(=O)NCC(=O)N)(CC)CC)C=CC(=C4)O
国际化学标识码 InChI 1S/C50H72N14O12S2/c1-3-50(4-2)25-41(69)58-33(23-29-14-16-30(65)17-15-29)44(72)61-34(22-28-10-6-5-7-11-28)45(73)59-32(18-19-38(51)66)43(71)62-35(24-39(52)67)46(74)63-36(27-77-78-50)48(76)64-21-9-13-37(64)47(75)60-31(12-8-20-56-49(54)55)42(70)57-26-40(53)68/h5-7,10-11,14-17,31-37,65H,3-4,8-9,12-13,18-27H2,1-2H3,(H2,51,66)(H2,52,67)(H2,53,68)(H,57,70)(H,58,69)(H,59,73)(H,60,75)(H,61,72)(H,62,71)(H,63,74)(H4,54,55,56)
国际化学标识检索码 InChIKey IEHQFQZNFZQAQD-UHFFFAOYSA-N
物理化学性质
密度 1.497g/cm3 (计算值)
市场分析报告
请浏览1-(beta-巯基-beta,beta-二乙基丙酸)-精氨酸加压素市场分析报告总目录
相关产品
4-二甲基氨基甲基-1-(3-羟基苯基)-1-壬烯...  N-甲酰基正亮氨酰-亮氨酰-苯丙氨酸氯甲基甲酮  8-氯-四氢异喹啉-7-磺酰胺  2-丁烯基-4-甲基苏氨酸  4,5,6,7-四氢-4,4-二-2-吡啶基-1H...  去甲副肾碱硫酸盐  2-氯乙基 乙烯基硫醚  1,4-二(3,3'-脒基苯氧基甲基)环己烷二乳酸...  3-[4-[2-羟基-3-(丙-2-基氨基)丙氧基...  3-[3-氟-4-[2-羟基-3-(丙-2-基氨基...  二十二烷基环氧乙烷  1,2,3-三甲氧基-4-[(E)-丙-1-烯基]...  二(乙硫基)汞(II)  硫氰酸钴(2+)盐  [[[[3-(氨基甲基)苯基]甲基]氨基]甲基]苯...