Online Database of Chemicals from Around the World

抗菌肽 A (1-33)
[CAS# 81541-05-1]

供应商
CAS#: 81541-05-1
产品: 抗菌肽 A (1-33)
暂时没有厂家供应该产品。
基本信息
产品名称 抗菌肽 A (1-33)
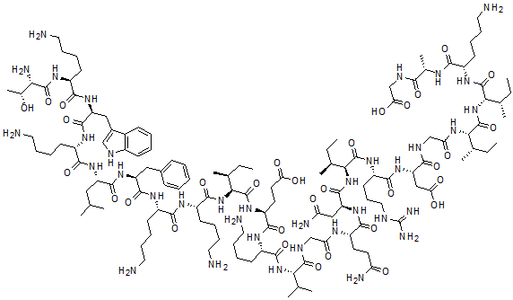
英文名 Cecropin A (1-33)
别名 L-Threonine, L-Lysyl-L-Tryptophyl-L-Lysyl-L-Leucyl-L-Phenylalanyl-L-Lysyl-L-Lysyl-L-Isoleucyl-L-Alpha-Glutamyl-L-Lysyl-L-Valylglycyl-L-Glutaminyl-L-Asparaginyl-L-Isoleucyl-L-Arginyl-L-Alpha-Aspartylglycyl-L-Isoleucyl-L-Isoleucyl-L-Lysyl-L-Alanylglycyl
分子结构 CAS 登录号:81541-05-1, 抗菌肽 A (1-33)
分子式 C128H216N36O32
分子量 2771.34
CAS 登录号 81541-05-1
分子行输入简码 SMILES [C@@H](N)(C(=O)N[C@H](C(=O)N[C@H](C(=O)N[C@H](C(=O)N[C@H](C(=O)N[C@H](C(=O)N[C@H](C(=O)N[C@H](C(=O)N[C@H](C(=O)N[C@H](C(=O)N[C@H](C(=O)N[C@H](C(=O)NCC(=O)N[C@H](C(=O)N[C@H](C(=O)N[C@H](C(=O)N[C@H](C(=O)N[C@H](C(=O)NCC(=O)N[C@H](C(=O)N[C@H](C(=O)N[C@H](C(=O)N[C@@H](C)C(=O)NCC(=O)O)CCCCN)[C@@H](C)CC)[C@@H](C)CC)CC(=O)O)CCCNC(N)=N)[C@@H](C)CC)CC(=O)N)CCC(=O)N)C(C)C)CCCCN)CCC(=O)O)[C@@H](C)CC)CCCCN)CCCCN)CC1=CC=CC=C1)CC(C)C)CCCCN)CC2=C[NH]C3=C2C=CC=C3)CCCCN)[C@H](O)C
国际化学标识码 InChI 1S/C128H216N36O32/c1-15-70(9)103(127(196)164-106(73(12)18-4)126(195)152-80(41-24-30-52-129)109(178)145-74(13)107(176)144-67-100(174)175)160-97(169)66-142-108(177)93(63-99(172)173)159-113(182)86(47-36-58-140-128(138)139)153-124(193)105(72(11)17-3)163-121(190)92(62-95(136)167)158-114(183)87(48-50-94(135)166)146-96(168)65-143-123(192)102(69(7)8)161-116(185)84(45-28-34-56-133)148-115(184)88(49-51-98(170)171)154-125(194)104(71(10)16-2)162-117(186)85(46-29-35-57-134)147-110(179)81(42-25-31-53-130)149-119(188)90(60-76-37-20-19-21-38-76)156-118(187)89(59-68(5)6)155-111(180)82(43-26-32-54-131)150-120(189)91(61-77-64-141-79-40-23-22-39-78(77)79)157-112(181)83(44-27-33-55-132)151-122(191)101(137)75(14)165/h19-23,37-40,64,68-75,80-93,101-106,141,165H,15-18,24-36,41-63,65-67,129-134,137H2,1-14H3,(H2,135,166)(H2,136,167)(H,142,177)(H,143,192)(H,144,176)(H,145,178)(H,146,168)(H,147,179)(H,148,184)(H,149,188)(H,150,189)(H,151,191)(H,152,195)(H,153,193)(H,154,194)(H,155,180)(H,156,187)(H,157,181)(H,158,183)(H,159,182)(H,160,169)(H,161,185)(H,162,186)(H,163,190)(H,164,196)(H,170,171)(H,172,173)(H,174,175)(H4,138,139,140)/t70-,71-,72-,73-,74-,75+,80-,81-,82-,83-,84-,85-,86-,87-,88-,89-,90-,91-,92-,93-,101-,102-,103-,104-,105-,106-/m0/s1
国际化学标识检索码 InChIKey FCSKFTKZLAGOGY-BYSRGVEESA-N
市场分析报告
请浏览抗菌肽 A (1-33)市场分析报告总目录
相关产品
4-((5-甲基-1,3,4-噻二唑-2-基)氨基...  4-氟苯基 甲基苯基亚膦酸酯  4-硝基苯基 甲基(4-三氟甲基苯基)亚膦酸酯  9beta-(2'叠氮基-2'-脱氧-D-阿拉伯呋...  [(1R,2R,3R,4Z,9R,10Z,12S,...  Prothracarcin  (3S)-6a-乙酰氧基-1,2,3,6,7,7a...  (3S)-1,2,3,6,7,7A,10,14,1...  (1R)-1a-乙酰氧基-1,2,3,6,7,7A...  N-乙酰基-L-酪氨酰甘氨酰-甘氨酰胺  2,3-二去氢-35-de[11-[[亚胺(甲基氨...  夫罗星鞣质  N-乙酰基-丙氨酰(1)-(4-氯苯丙氨酰)(2)...  2,3,3-三氯丙烯酰氯  Isotriornicine