Online Database of Chemicals from Around the World

辅酶 A 过硫化物
[CAS# 81918-99-2]

供应商
CAS#: 81918-99-2
产品: 辅酶 A 过硫化物
暂时没有厂家供应该产品。
基本信息
产品名称 辅酶 A 过硫化物
英文名 Coenzyme A Persulfide
别名 [(2R,3S,4R,5R)-5-(6-Aminopurin-9-Yl)-4-Hydroxy-3-Phosphonooxy-Tetrahydrofuran-2-Yl]Methyl [[(3R)-4-[[3-(2-Disulfanylethylamino)-3-Oxo-Propyl]Amino]-3-Hydroxy-2,2-Dimethyl-4-Oxo-Butoxy]-Hydroxy-Phosphoryl] Hydrogen Phosphate; [(2R,3S,4R,5R)-5-(6-Amino-9-Purinyl)-4-Hydroxy-3-Phosphonooxy-2-Tetrahydrofuranyl]Methyl [[(3R)-4-[[3-(2-Disulfanylethylamino)-3-Oxopropyl]Amino]-3-Hydroxy-2,2-Dimethyl-4-Oxobutoxy]-Hydroxyphosphoryl] Hydrogen Phosphate; [(2R,3S,4R,5R)-5-(6-Aminopurin-9-Yl)-4-Hydroxy-3-Phosphonooxy-Tetrahydrofuran-2-Yl]Methyl [[(3R)-4-[[3-(2-Disulfanylethylamino)-3-Keto-Propyl]Amino]-3-Hydroxy-4-Keto-2,2-Dimethyl-Butoxy]-Hydroxy-Phosphoryl] Hydrogen Phosphate
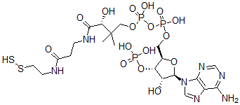
分子结构 CAS 登录号:81918-99-2, 辅酶 A 过硫化物
分子式 C21H36N7O16P3S2
分子量 799.59
CAS 登录号 81918-99-2
分子行输入简码 SMILES [C@H]1(O[C@@H]([C@@H](O[P](=O)(O)O)[C@H]1O)CO[P](O[P](OCC([C@@H](O)C(=O)NCCC(=O)NCCSS)(C)C)(=O)O)(=O)O)[N]2C3=C(N=C2)C(=NC=N3)N
国际化学标识码 InChI 1S/C21H36N7O16P3S2/c1-21(2,16(31)19(32)24-4-3-12(29)23-5-6-49-48)8-41-47(38,39)44-46(36,37)40-7-11-15(43-45(33,34)35)14(30)20(42-11)28-10-27-13-17(22)25-9-26-18(13)28/h9-11,14-16,20,30-31,48H,3-8H2,1-2H3,(H,23,29)(H,24,32)(H,36,37)(H,38,39)(H2,22,25,26)(H2,33,34,35)/t11-,14-,15-,16+,20-/m1/s1
国际化学标识检索码 InChIKey REVPHPVBPSIEKM-IBOSZNHHSA-N
物理化学性质
密度 1.971g/cm3 (计算值)
市场分析报告
请浏览辅酶 A 过硫化物市场分析报告总目录
相关产品
21-异戊基胆固醇  6,6'-(乙烯二(氧基乙烯亚胺))二(17-环丙...  (6beta,12aalpha))-(4S-(4a...  5,6-二羟基-8,11,14-二十三碳烯酸  1,3-二丁基-1,3-二氟二锡氧烷  5-(二异丙基氨基)-2-[[4-(二甲基氨基)苯...  1-芘丁酰基-辅酶 A  (1-芘丁酰基)肉碱  普瑞特罗硫酸酯  1,2-二氨基-4,5-乙烯二氧基苯  3,3'-二(alpha-(三甲基铵)甲基)偶氮苯  6-氯-3-甲基-1-苯基-1H-吡唑并[3,4-...  二((eta8-1,3,5,7-环辛四烯基)-二(...  5,3',4'-三羟基-3,6,7,8-四甲氧基黄...  叔-丁基氧羰基-正亮氨酰-谷氨酰胺酰-亮氨酰-甘氨...