基本信息
| 产品名称 |
地榆素 H2 |
| 英文名 |
Sanguiin H2 |
| 别名 |
Alpha-D-Glucopyranose, Cyclic 3,6-(3-(5-Carboxy-2,3-Dihydroxyphenoxy)-4,4',5,5'.6.6'-Hexahydroxy(1,1'-Biphenyl)-2,2'-Dicarboxylate) Cyclic 2,4-(4,4',5,5',6,6'-Hexahydroxy(1,1'-Biphenyl)-2,2'-Dicarboxylate) 1-(3,4,5-Trihydroxybenzoate), Stereoisomer |
|
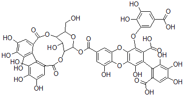
| 分子结构 |
 |
| 分子式 |
C48H32O31 |
| 分子量 |
1104.76 |
| CAS 登录号 |
82200-04-2 |
| 分子行输入简码 SMILES |
C1=C(C(=C(C(=C1C(O)=O)C2=C(C5=C(C(=C2C(O)=O)OC3=CC(=CC(=C3O)O)C(O)=O)OC4=CC(=CC(=C4O5)O)C(OC8OC(C9OC(C6=CC(=C(C(=C6C7=C(C=C(C(=C7O)O)O)C(OC8C9O)=O)O)O)O)=O)CO)=O)O)O)O)O |
| 国际化学标识码 InChI |
1S/C48H32O31/c49-8-21-37-35(63)40(78-47(72)13-7-17(53)30(58)33(61)24(13)23-12(46(71)77-37)6-16(52)29(57)32(23)60)48(75-21)79-45(70)10-2-18(54)36-20(4-10)74-41-38(73-19-3-9(42(64)65)1-14(50)27(19)55)26(44(68)69)25(34(62)39(41)76-36)22-11(43(66)67)5-15(51)28(56)31(22)59/h1-7,21,35,37,40,48-63H,8H2,(H,64,65)(H,66,67)(H,68,69) |
| 国际化学标识检索码 InChIKey |
MZUSVKVKDSKMEX-UHFFFAOYSA-N |
|