Online Database of Chemicals from Around the World

S-亚硝基-辅酶 A
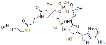
[CAS# 82494-50-6]

供应商
CAS#: 82494-50-6
产品: S-亚硝基-辅酶 A
暂时没有厂家供应该产品。
基本信息
产品名称 S-亚硝基-辅酶 A
英文名 S-Nitroso-Coenzyme A
别名 [(2R,3S,4R,5R)-5-(6-Aminopurin-9-Yl)-4-Hydroxy-3-Phosphonooxy-Tetrahydrofuran-2-Yl]Methyl [Hydroxy-[(3R)-3-Hydroxy-2,2-Dimethyl-4-[[3-(2-Nitrososulfanylethylamino)-3-Oxo-Propyl]Amino]-4-Oxo-Butoxy]Phosphoryl] Hydrogen Phosphate; [(2R,3S,4R,5R)-5-(6-Amino-9-Purinyl)-4-Hydroxy-3-Phosphonooxy-2-Tetrahydrofuranyl]Methyl [Hydroxy-[(3R)-3-Hydroxy-2,2-Dimethyl-4-[[3-[2-(Nitrosothio)Ethylamino]-3-Oxopropyl]Amino]-4-Oxobutoxy]Phosphoryl] Hydrogen Phosphate; [(2R,3S,4R,5R)-5-(6-Aminopurin-9-Yl)-4-Hydroxy-3-Phosphonooxy-Tetrahydrofuran-2-Yl]Methyl [Hydroxy-[(3R)-3-Hydroxy-4-Keto-4-[[3-Keto-3-[2-(Nitrosothio)Ethylamino]Propyl]Amino]-2,2-Dimethyl-Butoxy]Phosphoryl] Hydrogen Phosphate
分子结构 CAS 登录号:82494-50-6, S-亚硝基-辅酶 A
分子式 C21H35N8O17P3S
分子量 796.53
CAS 登录号 82494-50-6
分子行输入简码 SMILES [C@H]1(O[C@@H]([C@@H](O[P](=O)(O)O)[C@H]1O)CO[P](O[P](OCC([C@@H](O)C(=O)NCCC(=O)NCCSN=O)(C)C)(=O)O)(=O)O)[N]2C3=C(N=C2)C(=NC=N3)N
国际化学标识码 InChI 1S/C21H35N8O17P3S/c1-21(2,16(32)19(33)24-4-3-12(30)23-5-6-50-28-34)8-43-49(40,41)46-48(38,39)42-7-11-15(45-47(35,36)37)14(31)20(44-11)29-10-27-13-17(22)25-9-26-18(13)29/h9-11,14-16,20,31-32H,3-8H2,1-2H3,(H,23,30)(H,24,33)(H,38,39)(H,40,41)(H2,22,25,26)(H2,35,36,37)/t11-,14-,15-,16+,20-/m1/s1
国际化学标识检索码 InChIKey CNWRHTNOZSOAKE-IBOSZNHHSA-N
物理化学性质
密度 1.997g/cm3 (计算值)
市场分析报告
请浏览S-亚硝基-辅酶 A市场分析报告总目录
相关产品
2-(1-甲基环己基)乙醇  Cyclotropium  3-(苯胺基甲基)-1,3-苯并恶唑-2-酮 二硫...  1H-嘌呤-6-磺酰胺  6-(乙基磺酰基)嘌呤  6-(丁基磺酰基)嘌呤  2-乙氧基-N-(嘌呤-6-基)乙烷磺酰胺  N-(嘌呤-6-基)-alpha-甲苯磺酰胺  ((4-溴苄基)氧基)乙酸  (3-氨基-5-氧代-2(5H)-呋喃亚基)-乙醛  4-苄基羟基苯甲酸 2-羟基-3-(茶碱-7-醇)...  1,1-二丁基-3-甲基-3-苯基脲  甲硫基-(4-叔-丁基苯基)甲酮  4-氨基苯并[a]芘  11-氨基苯并[a]芘