基本信息
| 产品名称 |
苹果酰胺酸 (5-beta)-后叶催产素 |
| 英文名 |
Malamidic Acid (5-beta)-Oxytocin |
| 别名 |
1-[10-Amino-2-(2-Amino-2-Oxo-Ethyl)-19-(3-Amino-3-Oxo-Propyl)-13-[(4-Hydroxyphenyl)Methyl]-3,11,14,17,20-Pentaoxo-16-Sec-Butyl-1-Oxa-7,8-Dithia-4,12,15,18-Tetrazacycloicosane-5-Carbonyl]-N-[1-[(2-Amino-2-Oxo-Ethyl)Carbamoyl]-3-Methyl-Butyl]Pyrrolidine-2-Carboxamide; 1-[[10-Amino-2-(2-Amino-2-Oxoethyl)-19-(3-Amino-3-Oxopropyl)-13-[(4-Hydroxyphenyl)Methyl]-3,11,14,17,20-Pentaoxo-16-Sec-Butyl-1-Oxa-7,8-Dithia-4,12,15,18-Tetrazacycloicos-5-Yl]-Oxomethyl]-N-[1-[[(2-Amino-2-Oxoethyl)Amino]-Oxomethyl]-3-Methylbutyl]-2-Pyrrolidinecarboxamide; 1-[10-Amino-2-(2-Amino-2-Keto-Ethyl)-19-(3-Amino-3-Keto-Propyl)-13-(4-Hydroxybenzyl)-3,11,14,17,20-Pentaketo-16-Sec-Butyl-1-Oxa-7,8-Dithia-4,12,15,18-Tetrazacycloicosane-5-Carbonyl]-N-[1-[(2-Amino-2-Keto-Ethyl)Carbamoyl]-3-Methyl-Butyl]Pyrrolidine-2-Carboxamide |
|
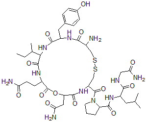
| 分子结构 |
 |
| 分子式 |
C43H65N11O13S2 |
| 分子量 |
1008.17 |
| CAS 登录号 |
83281-46-3 |
| 分子行输入简码 SMILES |
C3=C(CC1NC(=O)C(N)CSSCC(NC(=O)C(OC(=O)C(NC(=O)C(NC1=O)C(CC)C)CCC(=O)N)CC(=O)N)C(=O)N2C(C(=O)NC(C(=O)NCC(=O)N)CC(C)C)CCC2)C=CC(=C3)O |
| 国际化学标识码 InChI |
1S/C43H65N11O13S2/c1-5-22(4)35-41(64)49-26(12-13-32(45)56)43(66)67-31(17-33(46)57)40(63)52-29(20-69-68-19-25(44)36(59)50-28(38(61)53-35)16-23-8-10-24(55)11-9-23)42(65)54-14-6-7-30(54)39(62)51-27(15-21(2)3)37(60)48-18-34(47)58/h8-11,21-22,25-31,35,55H,5-7,12-20,44H2,1-4H3,(H2,45,56)(H2,46,57)(H2,47,58)(H,48,60)(H,49,64)(H,50,59)(H,51,62)(H,52,63)(H,53,61) |
| 国际化学标识检索码 InChIKey |
WMKKPLUNPLSYJR-UHFFFAOYSA-N |
|